| 参考文献No. | 594384 |
| 标题: | Absolute stereostructures and syntheses of saussureamines A, B, C, D and E, amino acid-sesquiterpene conjugates with gastroprotective effect, from the roots of Saussurea lappa |
| 作者: | Matsuda, H.; et al. |
| 来源: | Tetrahedron 2000,56(39),7763 |
 |
| 合成路线图解说明: By condensation of costunolide (I) (isolated from the dried roots of Chinese plant Saussurea lappa) with L-proline (II) by means of Et3N in refluxing ethanol. |
 |
| 合成路线图解说明: By condensation of dehydrocostus lactone (I) (isolated from the dried roots of Chinese plant Saussurea lappa) with L-proline (II) by means of Et3N in refluxing ethanol. |
 |
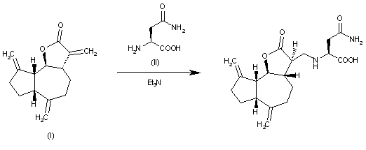
| 合成路线图解说明: By condensation of dehydrocostus lactone (I) (isolated from the dried roots of Chinese plant Saussurea lappa) with L-asparagine (II) by means of Et3N in refluxing ethanol. |
 |
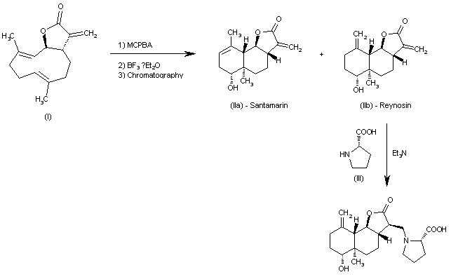
| 合成路线图解说明: The epoxidation of costunolide (I) (isolated from the dried roots of Chinese plant Saussurea lappa) with MCPBA followed by cyclization by means of BF3稥t2O gives a mixture of two furo-naphthalene derivatives that is separated by gel chromatography. The desired isomer (II) is finally condensed with L-proline (III) by means of Et3N in refluxing ethanol. |
 |
| 合成路线图解说明: The epoxidation of costunolide (I) (isolated from the dried roots of Chinese plant Saussurea lappa) with MCPBA followed by cyclization by means of BF3稥t2O gives a mixture of two furo-naphthalene derivatives that is separated by gel chromatography. The desired isomer (II) is finally condensed with L-proline (III) by means of Et3N in refluxing ethanol. |