【药物名称】Ruboxistaurin hydrochloride, LY-333531.HCl
化学结构式(Chemical Structure):
参考文献No.27151
标题:Protein kinase C inhibitors
作者:Heath, W.F. Jr.; Jirousek, M.R.; McDonald, J.H. III; Rito, C.J. (Eli Lilly and Company)
来源:CA 2137203; EP 0657458; JP 1995238044; US 5624949
合成路线图解说明:

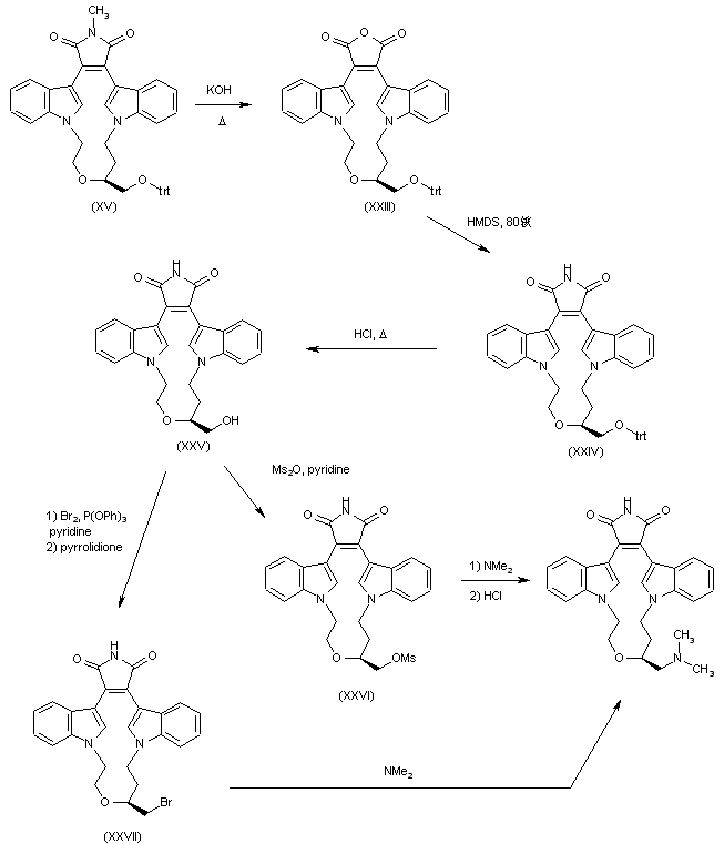
Hydrolysis of macrocycle (XV) with KOH in refluxing EtOH yields anhydride (XXIII), which is then treated with hexamethyldisilazane (HMDS) and MeOH (in DMF at 80 C) to afford compound (XXIV). Detritylation of (XXIV) with either HCl in CH2Cl2 or HCl in refluxing EtOH gives alcohol (XXV), which is treated with methanesulfonic anhydride and pyridine in either refluxing THF to produce mesylate (XXVI). Finally, the desired product is obtained by reaction of (XXVI) with dimethylamine in THF or DMF. Alternatively, the conversion of (XXV) into the target compound can also be performed by following these steps: treatment of (XXV) with bromine, pyridine and triphenyl phosphite followed by reaction with pyrrolodione provides bromo derivative (XXVII), which is finally converted into the target compound by reaction with dimethylamine in DMF.

合成路线图解说明:

The carbinol intermediate (XV) has also been obtained as follows: Alkylation of 4-(tert-butyldiphenylsilyloxy)-3(S)-hydroxybutyric acid methyl ester (XVIII) with allyl trichloroacetylimidate (XIX) and trifluoromethanesulfonic acid gives the allyl ether (XX), which is reduced with DIBAL in toluene to afford the alcohol (XXI). Ozonolysis of (XXI) with O3 in methanol provides the hydroxyaldehyde (XXII), which is reduced with NaBH4 in methanol, giving diol (XXIII). Reaction of (XXIII) with MsCl and TEA in ether yields the dimesylate (XXIV), which is treated with NaI in hot acetone to provide the diiodide (XXV). Cyclization of (XXV) with 3,4-bis(3-indolyl)-1-methyl-2,5-dihydro-1H-pyrrole-2,5-dione (XI) by means of Cs2CO3 in DMF gives the hexacyclic compound (XXVI), which is demethylated as before by reaction with KOH in refluxing ethanol to the hexacyclic furan derivative (XXVII) and then treated with HMDS in hot methanol to give the demethylated pyrrole derivative (XXVIII). Finally, this compound is desilylated with HCl to the carbinol (XV).

参考文献No.33438
标题:Protein kinase C inhibitor
作者:Engel, G.L.; Farid, N.A.; Faul, M.M.; Jirousek, M.R.; Richardson, L.A.; Winneroski, L.L. Jr. (Eli Lilly and Company)
来源:EP 0776895; JP 1999500149; US 5710145; WO 9718809
合成路线图解说明:

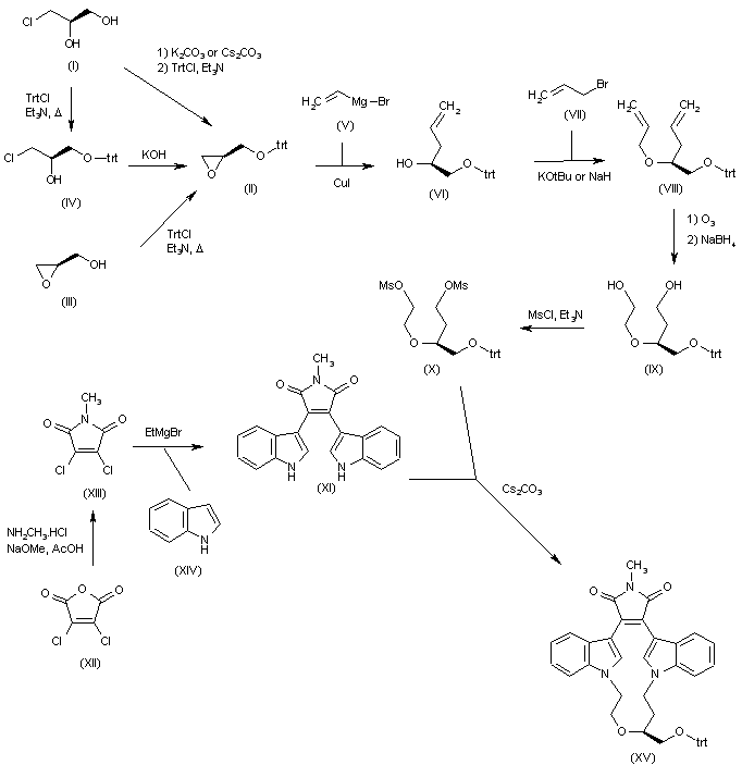
Treatment of (R)-1-chloro-2,3-propanediol (I) with either K2CO3 or Cs2CO3 in CH2Cl2, followed by O-protection with Trt-Cl and Et3N in CH2Cl2, yields (S)-trityl glycidol (II). Alternatively, derivative (II) can also be obtained either by direct O-protection of (R)-glycidol (III) by means of Trt-Cl and Et3N in refluxing CH2Cl2 or by cyclization of protected propanediol derivative (IV)--obtained from treatment of compound (I) with Trt-Cl and Et3N in CH2Cl2--by means of KOH in EtOH. Reaction of (S)-trityl glycidol (II) with vinyl magnesium bromide (V) by means of CuI in THF provides (S)-1-(triphenylmethoxy)-4-penten-2-ol (VI), which is then condensed with allyl bromide (VII) with KOtBu or NaH in THF to afford compound (VIII). Ozonolysis of (VIII) in CH2Cl2/MeOH, followed by reductive quench with NaBH4 in NaOH, gives (S)-3-(2-hydroxyethoxy)-4-(triphenylmethoxy)-1-butanol (IX), which is then treated with MsCl/Et3N in CH2Cl2 to yield bismesylate (X). Coupling of compound (X) with 2,3-bis(1H-indol-3-yl)-N-methylmaleimide (XI) [obtained by treatment of dichloromaleic anhydride (XII) with methylamine hydrochloride by means of NaOMe in HOAc to furnish dichloro-N-methylmaleimide (XIII), followed by Grignard reaction of (XIII) with indole (XIV) in toluene/THF by means of EtMgBr in Et2O] by means of Cs2CO3 in DMF gives the 14-membered macrocycle (XV).

合成路线图解说明:

Alternatively, compound (XV) can also be obtained as follows: Reduction of (S)-maleate (XVI) with BMS-NaBH4 in THF, followed by O-protection with TBDPS-Cl and imidazole, yields alcohol (XVII), which is first allylated with allyl trichloroacetimidate (XVIII) catalyzed by triflic acid in cyclohexanes and then reduced with DIBAL in THF to provide compound (XIX). Ozonolysis of (XIX) in MeOH, followed by reductive quench with NaBH4, gives diol (XX), which is then converted into bismesylate (XXI) by treatment with MsCl and Et3N in ether. Compound (XXI) is subjected to a double Finkelstein reaction with NaI in acetone in the presence of NaHCO3 to yield bisiodide (XXII) (1), which is then coupled with 3-bis(1H-indol-3-yl)-N-methylmaleimide (XI) by means of Cs2CO3 in DMF to give intermediate (XV).

合成路线图解说明:

Hydrolysis of macrocycle (XV) with KOH in refluxing EtOH yields anhydride (XXIII), which is then treated with hexamethyldisilazane (HMDS) and MeOH (in DMF at 80 C) to afford compound (XXIV). Detritylation of (XXIV) with either HCl in CH2Cl2 or HCl in refluxing EtOH gives alcohol (XXV), which is treated with methanesulfonic anhydride and pyridine in either refluxing THF to produce mesylate (XXVI). Finally, the desired product is obtained by reaction of (XXVI) with dimethylamine in THF or DMF. Alternatively, the conversion of (XXV) into the target compound can also be performed by following these steps: treatment of (XXV) with bromine, pyridine and triphenyl phosphite followed by reaction with pyrrolodione provides bromo derivative (XXVII), which is finally converted into the target compound by reaction with dimethylamine in DMF.

合成路线图解说明:

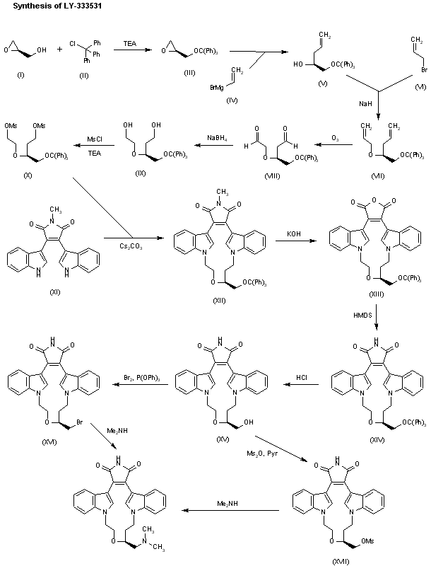
Protection of (R)-glycidol (I) with trityl chloride (II) and TEA in dichloromethane gives the trityl ether (III), which is condensed with vinylmagnesium bromide (IV) in THF to yield the pentenol (V). The alkylation of (V) with allyl bromide (VI) by means of NaH in THF affords the allyl ether (VII), which is oxidized with O3 in methanol/dichloromethane, giving dialdehyde (VIII). Reduction of (VIII) with NaBH4 in ethanol provides diol (IX), which is treated with mesyl chloride and TEA in dichloromethane to afford the fully protected alcohol (X). Cyclization of (X) with 3,4-bis(3-indolyl)-1-methyl-2,5-dihydro-1H-pyrrole-2,5-dione (XI) by means of Cs2CO3 in DMF yields the hexacyclic compound (XII), which is N-demethylated by reaction with KOH in refluxing ethanol to give the hexacyclic furan derivative (XIII), which is then treated with hexamethyldisilazane (HMDS) in hot methanol to afford the hexacyclic demethylated pyrrole (XIV). Elimination of the trityl protecting group of (XIV) with HCl in dichloromethane gives the methanol derivative (XV), which is treated with Br2, pyridine and triphenyl phosphite in dichloromethane to yield the bromomethyl derivative (XVI). Finally, this compound is treated with dimethylamine in DMF to provide LY-333531. Alternatively, compound (XV) is treated with methanesulfonic anhydride and pyridine in THF, giving the mesylate (XVII), which is then treated with dimethylamine as before.

参考文献No.45063
标题:Intermediates and their use to prepare N,N'-bridged bisindolylmaleimides
作者:Faul, M.M.; Winneroski, L.L. Jr.; Krumrich, C.A. (Eli Lilly and Company)
来源:US 5721272
合成路线图解说明:

Treatment of (R)-1-chloro-2,3-propanediol (I) with either K2CO3 or Cs2CO3 in CH2Cl2, followed by O-protection with Trt-Cl and Et3N in CH2Cl2, yields (S)-trityl glycidol (II). Alternatively, derivative (II) can also be obtained either by direct O-protection of (R)-glycidol (III) by means of Trt-Cl and Et3N in refluxing CH2Cl2 or by cyclization of protected propanediol derivative (IV)--obtained from treatment of compound (I) with Trt-Cl and Et3N in CH2Cl2--by means of KOH in EtOH. Reaction of (S)-trityl glycidol (II) with vinyl magnesium bromide (V) by means of CuI in THF provides (S)-1-(triphenylmethoxy)-4-penten-2-ol (VI), which is then condensed with allyl bromide (VII) with KOtBu or NaH in THF to afford compound (VIII). Ozonolysis of (VIII) in CH2Cl2/MeOH, followed by reductive quench with NaBH4 in NaOH, gives (S)-3-(2-hydroxyethoxy)-4-(triphenylmethoxy)-1-butanol (IX), which is then treated with MsCl/Et3N in CH2Cl2 to yield bismesylate (X). Coupling of compound (X) with 2,3-bis(1H-indol-3-yl)-N-methylmaleimide (XI) [obtained by treatment of dichloromaleic anhydride (XII) with methylamine hydrochloride by means of NaOMe in HOAc to furnish dichloro-N-methylmaleimide (XIII), followed by Grignard reaction of (XIII) with indole (XIV) in toluene/THF by means of EtMgBr in Et2O] by means of Cs2CO3 in DMF gives the 14-membered macrocycle (XV).

合成路线图解说明:

Hydrolysis of macrocycle (XV) with KOH in refluxing EtOH yields anhydride (XXIII), which is then treated with hexamethyldisilazane (HMDS) and MeOH (in DMF at 80 C) to afford compound (XXIV). Detritylation of (XXIV) with either HCl in CH2Cl2 or HCl in refluxing EtOH gives alcohol (XXV), which is treated with methanesulfonic anhydride and pyridine in either refluxing THF to produce mesylate (XXVI). Finally, the desired product is obtained by reaction of (XXVI) with dimethylamine in THF or DMF. Alternatively, the conversion of (XXV) into the target compound can also be performed by following these steps: treatment of (XXV) with bromine, pyridine and triphenyl phosphite followed by reaction with pyrrolodione provides bromo derivative (XXVII), which is finally converted into the target compound by reaction with dimethylamine in DMF.

合成路线图解说明:

Protection of (R)-glycidol (I) with trityl chloride (II) and TEA in dichloromethane gives the trityl ether (III), which is condensed with vinylmagnesium bromide (IV) in THF to yield the pentenol (V). The alkylation of (V) with allyl bromide (VI) by means of NaH in THF affords the allyl ether (VII), which is oxidized with O3 in methanol/dichloromethane, giving dialdehyde (VIII). Reduction of (VIII) with NaBH4 in ethanol provides diol (IX), which is treated with mesyl chloride and TEA in dichloromethane to afford the fully protected alcohol (X). Cyclization of (X) with 3,4-bis(3-indolyl)-1-methyl-2,5-dihydro-1H-pyrrole-2,5-dione (XI) by means of Cs2CO3 in DMF yields the hexacyclic compound (XII), which is N-demethylated by reaction with KOH in refluxing ethanol to give the hexacyclic furan derivative (XIII), which is then treated with hexamethyldisilazane (HMDS) in hot methanol to afford the hexacyclic demethylated pyrrole (XIV). Elimination of the trityl protecting group of (XIV) with HCl in dichloromethane gives the methanol derivative (XV), which is treated with Br2, pyridine and triphenyl phosphite in dichloromethane to yield the bromomethyl derivative (XVI). Finally, this compound is treated with dimethylamine in DMF to provide LY-333531. Alternatively, compound (XV) is treated with methanesulfonic anhydride and pyridine in THF, giving the mesylate (XVII), which is then treated with dimethylamine as before.

参考文献No.45064
标题:Intermediates and their use to prepare N,N'-bridged bisindolylmaleimides
作者:Faul, M.M.; Winneroski, L.L. Jr.; Krumrich, C.A. (Eli Lilly and Company)
来源:EP 0776899
合成路线图解说明:

Treatment of (R)-1-chloro-2,3-propanediol (I) with either K2CO3 or Cs2CO3 in CH2Cl2, followed by O-protection with Trt-Cl and Et3N in CH2Cl2, yields (S)-trityl glycidol (II). Alternatively, derivative (II) can also be obtained either by direct O-protection of (R)-glycidol (III) by means of Trt-Cl and Et3N in refluxing CH2Cl2 or by cyclization of protected propanediol derivative (IV)--obtained from treatment of compound (I) with Trt-Cl and Et3N in CH2Cl2--by means of KOH in EtOH. Reaction of (S)-trityl glycidol (II) with vinyl magnesium bromide (V) by means of CuI in THF provides (S)-1-(triphenylmethoxy)-4-penten-2-ol (VI), which is then condensed with allyl bromide (VII) with KOtBu or NaH in THF to afford compound (VIII). Ozonolysis of (VIII) in CH2Cl2/MeOH, followed by reductive quench with NaBH4 in NaOH, gives (S)-3-(2-hydroxyethoxy)-4-(triphenylmethoxy)-1-butanol (IX), which is then treated with MsCl/Et3N in CH2Cl2 to yield bismesylate (X). Coupling of compound (X) with 2,3-bis(1H-indol-3-yl)-N-methylmaleimide (XI) [obtained by treatment of dichloromaleic anhydride (XII) with methylamine hydrochloride by means of NaOMe in HOAc to furnish dichloro-N-methylmaleimide (XIII), followed by Grignard reaction of (XIII) with indole (XIV) in toluene/THF by means of EtMgBr in Et2O] by means of Cs2CO3 in DMF gives the 14-membered macrocycle (XV).

合成路线图解说明:

Hydrolysis of macrocycle (XV) with KOH in refluxing EtOH yields anhydride (XXIII), which is then treated with hexamethyldisilazane (HMDS) and MeOH (in DMF at 80 C) to afford compound (XXIV). Detritylation of (XXIV) with either HCl in CH2Cl2 or HCl in refluxing EtOH gives alcohol (XXV), which is treated with methanesulfonic anhydride and pyridine in either refluxing THF to produce mesylate (XXVI). Finally, the desired product is obtained by reaction of (XXVI) with dimethylamine in THF or DMF. Alternatively, the conversion of (XXV) into the target compound can also be performed by following these steps: treatment of (XXV) with bromine, pyridine and triphenyl phosphite followed by reaction with pyrrolodione provides bromo derivative (XXVII), which is finally converted into the target compound by reaction with dimethylamine in DMF.

合成路线图解说明:

Protection of (R)-glycidol (I) with trityl chloride (II) and TEA in dichloromethane gives the trityl ether (III), which is condensed with vinylmagnesium bromide (IV) in THF to yield the pentenol (V). The alkylation of (V) with allyl bromide (VI) by means of NaH in THF affords the allyl ether (VII), which is oxidized with O3 in methanol/dichloromethane, giving dialdehyde (VIII). Reduction of (VIII) with NaBH4 in ethanol provides diol (IX), which is treated with mesyl chloride and TEA in dichloromethane to afford the fully protected alcohol (X). Cyclization of (X) with 3,4-bis(3-indolyl)-1-methyl-2,5-dihydro-1H-pyrrole-2,5-dione (XI) by means of Cs2CO3 in DMF yields the hexacyclic compound (XII), which is N-demethylated by reaction with KOH in refluxing ethanol to give the hexacyclic furan derivative (XIII), which is then treated with hexamethyldisilazane (HMDS) in hot methanol to afford the hexacyclic demethylated pyrrole (XIV). Elimination of the trityl protecting group of (XIV) with HCl in dichloromethane gives the methanol derivative (XV), which is treated with Br2, pyridine and triphenyl phosphite in dichloromethane to yield the bromomethyl derivative (XVI). Finally, this compound is treated with dimethylamine in DMF to provide LY-333531. Alternatively, compound (XV) is treated with methanesulfonic anhydride and pyridine in THF, giving the mesylate (XVII), which is then treated with dimethylamine as before.

参考文献No.45065
标题:Improved synthesis of bisindolylmaleimides
作者:Rito, C.J.; Mcdonald, J.H. III; Jirousek, M.R.; Winneroski, L.L. Jr.; Heath, W.F. Jr.; Faul, M.M. (Eli Lilly and Company)
来源:EP 0657411; US 5541347
合成路线图解说明:

Treatment of (R)-1-chloro-2,3-propanediol (I) with either K2CO3 or Cs2CO3 in CH2Cl2, followed by O-protection with Trt-Cl and Et3N in CH2Cl2, yields (S)-trityl glycidol (II). Alternatively, derivative (II) can also be obtained either by direct O-protection of (R)-glycidol (III) by means of Trt-Cl and Et3N in refluxing CH2Cl2 or by cyclization of protected propanediol derivative (IV)--obtained from treatment of compound (I) with Trt-Cl and Et3N in CH2Cl2--by means of KOH in EtOH. Reaction of (S)-trityl glycidol (II) with vinyl magnesium bromide (V) by means of CuI in THF provides (S)-1-(triphenylmethoxy)-4-penten-2-ol (VI), which is then condensed with allyl bromide (VII) with KOtBu or NaH in THF to afford compound (VIII). Ozonolysis of (VIII) in CH2Cl2/MeOH, followed by reductive quench with NaBH4 in NaOH, gives (S)-3-(2-hydroxyethoxy)-4-(triphenylmethoxy)-1-butanol (IX), which is then treated with MsCl/Et3N in CH2Cl2 to yield bismesylate (X). Coupling of compound (X) with 2,3-bis(1H-indol-3-yl)-N-methylmaleimide (XI) [obtained by treatment of dichloromaleic anhydride (XII) with methylamine hydrochloride by means of NaOMe in HOAc to furnish dichloro-N-methylmaleimide (XIII), followed by Grignard reaction of (XIII) with indole (XIV) in toluene/THF by means of EtMgBr in Et2O] by means of Cs2CO3 in DMF gives the 14-membered macrocycle (XV).

合成路线图解说明:

Hydrolysis of macrocycle (XV) with KOH in refluxing EtOH yields anhydride (XXIII), which is then treated with hexamethyldisilazane (HMDS) and MeOH (in DMF at 80 C) to afford compound (XXIV). Detritylation of (XXIV) with either HCl in CH2Cl2 or HCl in refluxing EtOH gives alcohol (XXV), which is treated with methanesulfonic anhydride and pyridine in either refluxing THF to produce mesylate (XXVI). Finally, the desired product is obtained by reaction of (XXVI) with dimethylamine in THF or DMF. Alternatively, the conversion of (XXV) into the target compound can also be performed by following these steps: treatment of (XXV) with bromine, pyridine and triphenyl phosphite followed by reaction with pyrrolodione provides bromo derivative (XXVII), which is finally converted into the target compound by reaction with dimethylamine in DMF.

合成路线图解说明:

Protection of (R)-glycidol (I) with trityl chloride (II) and TEA in dichloromethane gives the trityl ether (III), which is condensed with vinylmagnesium bromide (IV) in THF to yield the pentenol (V). The alkylation of (V) with allyl bromide (VI) by means of NaH in THF affords the allyl ether (VII), which is oxidized with O3 in methanol/dichloromethane, giving dialdehyde (VIII). Reduction of (VIII) with NaBH4 in ethanol provides diol (IX), which is treated with mesyl chloride and TEA in dichloromethane to afford the fully protected alcohol (X). Cyclization of (X) with 3,4-bis(3-indolyl)-1-methyl-2,5-dihydro-1H-pyrrole-2,5-dione (XI) by means of Cs2CO3 in DMF yields the hexacyclic compound (XII), which is N-demethylated by reaction with KOH in refluxing ethanol to give the hexacyclic furan derivative (XIII), which is then treated with hexamethyldisilazane (HMDS) in hot methanol to afford the hexacyclic demethylated pyrrole (XIV). Elimination of the trityl protecting group of (XIV) with HCl in dichloromethane gives the methanol derivative (XV), which is treated with Br2, pyridine and triphenyl phosphite in dichloromethane to yield the bromomethyl derivative (XVI). Finally, this compound is treated with dimethylamine in DMF to provide LY-333531. Alternatively, compound (XV) is treated with methanesulfonic anhydride and pyridine in THF, giving the mesylate (XVII), which is then treated with dimethylamine as before.

合成路线图解说明:

The intermediate (XI), 3,4-bis(3-indolyl)-1-methyl-2,5-dihydro-1H-pyrrole-2,5-dione, has been obtained as follows: Reaction of 2,3-dichloromaleic anhydride (XXIX) with methylamine and NaOMe in acetic acid gives 3,4-dichloro-1-methyl-2,5-dihydro-1H-pyrrole-2,5-dione (XXX), which is then condensed with indole (XXXI) by means of ethylmagnesium bromide in refluxing toluene/THF to the target compound (XI).

参考文献No.372627
标题:(S)-13-[(Dimethylamino)methyl]-10,11,14,15-tetrahydro-4,9:16,21-dimetheno-1H,13H-dibenzo[e,k]pyrrolo[3,4-h][1,4,13]oxadiazacyclohexadecene-1,3(2H)-dione (LY333531) and related analogues: Isozyme selective inhibitors of protein kinase Cbeta
作者:Jirousek, M.R.; Gillig, J.R.; Gonzalez, C.M.; Heath, W.F.; McDonald, J.H. III.; Neel, D.A.; Rito, C.J.; Singh, U.; Stramm, L.E.; Melikian-Badalian, A.; Baevsky, M.; Ballas, L.M.; Hall, S.E.; Winneroski, L.L.; Faul, M.M.
来源:J Med Chem 1996,39(14),2664
合成路线图解说明:

Hydrolysis of macrocycle (XV) with KOH in refluxing EtOH yields anhydride (XXIII), which is then treated with hexamethyldisilazane (HMDS) and MeOH (in DMF at 80 C) to afford compound (XXIV). Detritylation of (XXIV) with either HCl in CH2Cl2 or HCl in refluxing EtOH gives alcohol (XXV), which is treated with methanesulfonic anhydride and pyridine in either refluxing THF to produce mesylate (XXVI). Finally, the desired product is obtained by reaction of (XXVI) with dimethylamine in THF or DMF. Alternatively, the conversion of (XXV) into the target compound can also be performed by following these steps: treatment of (XXV) with bromine, pyridine and triphenyl phosphite followed by reaction with pyrrolodione provides bromo derivative (XXVII), which is finally converted into the target compound by reaction with dimethylamine in DMF.

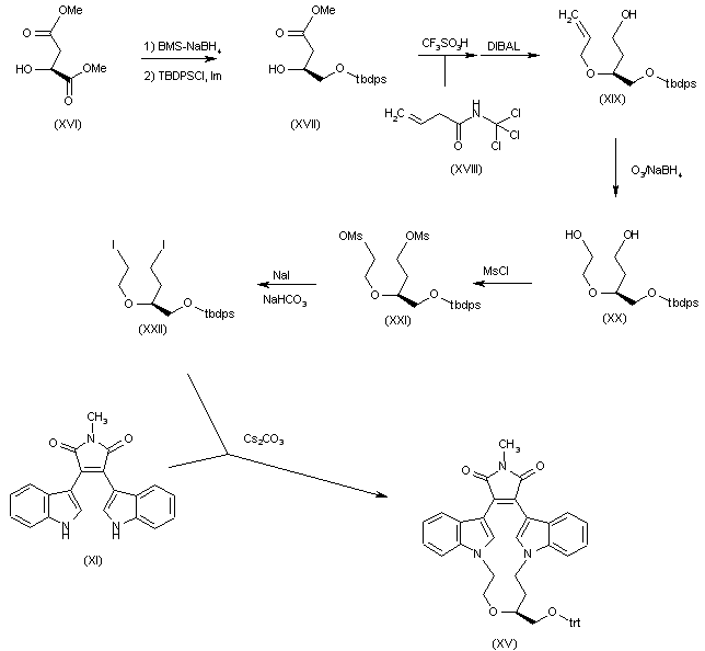
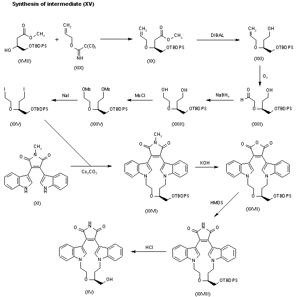
合成路线图解说明:

The carbinol intermediate (XV) has also been obtained as follows: Alkylation of 4-(tert-butyldiphenylsilyloxy)-3(S)-hydroxybutyric acid methyl ester (XVIII) with allyl trichloroacetylimidate (XIX) and trifluoromethanesulfonic acid gives the allyl ether (XX), which is reduced with DIBAL in toluene to afford the alcohol (XXI). Ozonolysis of (XXI) with O3 in methanol provides the hydroxyaldehyde (XXII), which is reduced with NaBH4 in methanol, giving diol (XXIII). Reaction of (XXIII) with MsCl and TEA in ether yields the dimesylate (XXIV), which is treated with NaI in hot acetone to provide the diiodide (XXV). Cyclization of (XXV) with 3,4-bis(3-indolyl)-1-methyl-2,5-dihydro-1H-pyrrole-2,5-dione (XI) by means of Cs2CO3 in DMF gives the hexacyclic compound (XXVI), which is demethylated as before by reaction with KOH in refluxing ethanol to the hexacyclic furan derivative (XXVII) and then treated with HMDS in hot methanol to give the demethylated pyrrole derivative (XXVIII). Finally, this compound is desilylated with HCl to the carbinol (XV).

参考文献No.590264
标题:Macrocyclic bisindolylmaleimides: Synthesis by inter- and intramolecular alkylation
作者:Faul, M.M.; Sullivan, K.A.; Neel, D.A.; Krumrich, C.A.; Jirousek, M.R.; Winneroski, L.L.; Gillig, J.R.; Rito, C.J.
来源:J Org Chem 1998,63(6),1961
合成路线图解说明:

Treatment of (R)-1-chloro-2,3-propanediol (I) with either K2CO3 or Cs2CO3 in CH2Cl2, followed by O-protection with Trt-Cl and Et3N in CH2Cl2, yields (S)-trityl glycidol (II). Alternatively, derivative (II) can also be obtained either by direct O-protection of (R)-glycidol (III) by means of Trt-Cl and Et3N in refluxing CH2Cl2 or by cyclization of protected propanediol derivative (IV)--obtained from treatment of compound (I) with Trt-Cl and Et3N in CH2Cl2--by means of KOH in EtOH. Reaction of (S)-trityl glycidol (II) with vinyl magnesium bromide (V) by means of CuI in THF provides (S)-1-(triphenylmethoxy)-4-penten-2-ol (VI), which is then condensed with allyl bromide (VII) with KOtBu or NaH in THF to afford compound (VIII). Ozonolysis of (VIII) in CH2Cl2/MeOH, followed by reductive quench with NaBH4 in NaOH, gives (S)-3-(2-hydroxyethoxy)-4-(triphenylmethoxy)-1-butanol (IX), which is then treated with MsCl/Et3N in CH2Cl2 to yield bismesylate (X). Coupling of compound (X) with 2,3-bis(1H-indol-3-yl)-N-methylmaleimide (XI) [obtained by treatment of dichloromaleic anhydride (XII) with methylamine hydrochloride by means of NaOMe in HOAc to furnish dichloro-N-methylmaleimide (XIII), followed by Grignard reaction of (XIII) with indole (XIV) in toluene/THF by means of EtMgBr in Et2O] by means of Cs2CO3 in DMF gives the 14-membered macrocycle (XV).

合成路线图解说明:

Hydrolysis of macrocycle (XV) with KOH in refluxing EtOH yields anhydride (XXIII), which is then treated with hexamethyldisilazane (HMDS) and MeOH (in DMF at 80 C) to afford compound (XXIV). Detritylation of (XXIV) with either HCl in CH2Cl2 or HCl in refluxing EtOH gives alcohol (XXV), which is treated with methanesulfonic anhydride and pyridine in either refluxing THF to produce mesylate (XXVI). Finally, the desired product is obtained by reaction of (XXVI) with dimethylamine in THF or DMF. Alternatively, the conversion of (XXV) into the target compound can also be performed by following these steps: treatment of (XXV) with bromine, pyridine and triphenyl phosphite followed by reaction with pyrrolodione provides bromo derivative (XXVII), which is finally converted into the target compound by reaction with dimethylamine in DMF.

合成路线图解说明:

Protection of (R)-glycidol (I) with trityl chloride (II) and TEA in dichloromethane gives the trityl ether (III), which is condensed with vinylmagnesium bromide (IV) in THF to yield the pentenol (V). The alkylation of (V) with allyl bromide (VI) by means of NaH in THF affords the allyl ether (VII), which is oxidized with O3 in methanol/dichloromethane, giving dialdehyde (VIII). Reduction of (VIII) with NaBH4 in ethanol provides diol (IX), which is treated with mesyl chloride and TEA in dichloromethane to afford the fully protected alcohol (X). Cyclization of (X) with 3,4-bis(3-indolyl)-1-methyl-2,5-dihydro-1H-pyrrole-2,5-dione (XI) by means of Cs2CO3 in DMF yields the hexacyclic compound (XII), which is N-demethylated by reaction with KOH in refluxing ethanol to give the hexacyclic furan derivative (XIII), which is then treated with hexamethyldisilazane (HMDS) in hot methanol to afford the hexacyclic demethylated pyrrole (XIV). Elimination of the trityl protecting group of (XIV) with HCl in dichloromethane gives the methanol derivative (XV), which is treated with Br2, pyridine and triphenyl phosphite in dichloromethane to yield the bromomethyl derivative (XVI). Finally, this compound is treated with dimethylamine in DMF to provide LY-333531. Alternatively, compound (XV) is treated with methanesulfonic anhydride and pyridine in THF, giving the mesylate (XVII), which is then treated with dimethylamine as before.

Drug Information Express,Drug R&D,Chemical Database,Patent Search.
Copyright © 2006-2026 Drug Future. All rights reserved.Contact Us