【药物名称】
化学结构式(Chemical Structure):
参考文献No.803816
标题:Galanthamine derivatives for the treatment of Alzeimer's disease
作者:Bores, G.M.; Kosley, R.W. Jr.
来源:Drugs Fut 1996,21(6),621
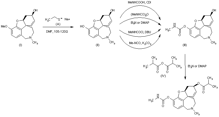
合成路线图解说明:

The demethylation of galanthamine (I) with ethyl mercaptane sodium salt in hot DMF gives 6-demethylgalanthamine (II), which is selectively monoesterified at the phenolic OH with N-methylcarbamic acid and CDI yielding the target monoester. The selective monoesterification of (II) can also be performed with N-methylcarbamic anhydride and TEA or DMAP, with N-methylcarbamoyl chloride and DBU, with N-methylisocyanate and K2CO3 or with CDI and methylamine in HOAc.

合成路线图解说明:

The demethylation of galanthamine (I) with ethyl mercaptane sodium salt in hot DMF gives 6-demethylgalanthamine (II), which is selectively monoesterified at the phenolic OH with N-methylcarbamic acid and CDI yielding the monoester (III). Finally this compound is esterified again at the remaining OH with isobutyric anhydride (IV) and TEA or DMAP affording the target diester. The selective monoesterification of (II) can also be performed with N-methylcarbamic anhydride and TEA or DMAP, with N-methylcarbamoyl chloride and DBU, or with N-methylisocyanate and K2CO3.

合成路线图解说明:

The demethylation of galanthamine (I) with ethyl mercaptane sodium salt in hot DMF gives 6-demethylgalanthamine (II), which is selectively monoesterified at the phenolic OH with pivalic acid and CDI yielding the monoester (III). Finally this compound is esterified again at the remaining OH with isopropyl dicarbonate (IV) and TEA or DMAP affording the target diester. The selective monoesterification of (II) can also be performed with pivalic anhydride and TEA or DMAP, or with pivaloyl chloride and DBU.

Drug Information Express,Drug R&D,Chemical Database,Patent Search.
Copyright © 2006-2026 Drug Future. All rights reserved.Contact Us