【药物名称】Naxifylline, BG-9719, CVT-124, Adentri
化学结构式(Chemical Structure):
参考文献No.27083
标题:Novel A1 adenosine receptor agonists and antagonists
作者:Belardinelli, L.; Olsson, R.; Baker, S.; Scammells, P.J.; Milner, P.G.; Pfister, J.R.; Schreiner, G.F. (University of Florida)
来源:EP 0725782; JP 1997507052; US 5446046; WO 9511904
合成路线图解说明:

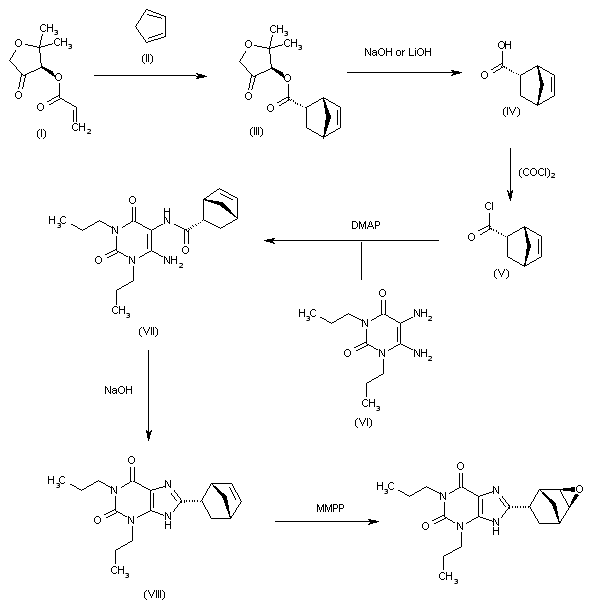
The asymmetric Diels-Alder cycloaddition of cyclopentadiene (II) with the acrylic ester (I) of the chiral auxiliary D-pantolactone catalyzed by TiCl4 gives the chiral norbornene (III), which is treated with LiOH or NaOH to eliminate the auxiliary to yield the carboxylic acid (IV). The reaction of (IV) with oxalyl chloride affords the acyl chloride (V), which is condensed with 5,6-diamino-1,3-dipropyluracil (VI) by means of DMAP in pyridine to provide the amide (VII). The cyclization of (VII) by means of NaOH in dioxane gives the 1,3-dipropylxanthine derivative (VIII), which is finally epoxidated by means of magnesium monoperphthalate (MMPP) in aq. isopropanol to furnish the target xanthine derivative.

参考文献No.423495
标题:Synthesis and biological evaluation of the enantiomers of the potent and selective A1-adenosine antagonist 1, 3-dipropyl-8-[2-(5,6-epoxynorbonyl)]xanthine
作者:Pfister, J.R.; Belardinelli, L.; Lee, G.; Lum, R.T.; Milner, P.; Stanley, W.C.; Linden, J.; Baker, S.P.; Schreiner, G.
来源:J Med Chem 1997,40(12),1773
合成路线图解说明:

The asymmetric Diels-Alder cycloaddition of cyclopentadiene (II) with the acrylic ester (I) of the chiral auxiliary D-pantolactone catalyzed by TiCl4 gives the chiral norbornene (III), which is treated with LiOH or NaOH to eliminate the auxiliary to yield the carboxylic acid (IV). The reaction of (IV) with oxalyl chloride affords the acyl chloride (V), which is condensed with 5,6-diamino-1,3-dipropyluracil (VI) by means of DMAP in pyridine to provide the amide (VII). The cyclization of (VII) by means of NaOH in dioxane gives the 1,3-dipropylxanthine derivative (VIII), which is finally epoxidated by means of magnesium monoperphthalate (MMPP) in aq. isopropanol to furnish the target xanthine derivative.

Drug Information Express,Drug R&D,Chemical Database,Patent Search.
Copyright © 2006-2026 Drug Future. All rights reserved.Contact Us