【药物名称】CPA-926
化学结构式(Chemical Structure):
参考文献No.26986
标题:Esculetin derivs. and method for manufacture thereof, use thereof, and pharmaceutical compsn.
作者:Watanabe, K.; Niimura, K.; Miyagawa, J. (Kureha Chemical Industry Co. Ltd.)
来源:EP 0654479; JP 1995179490; US 5736522
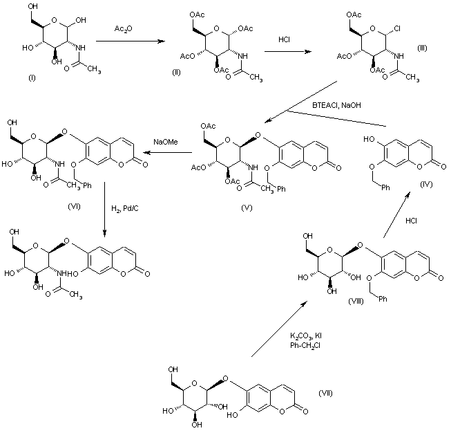
合成路线图解说明:

The acetylation of N-acetyl-D-glucosamine (I) with Ac2O and pyridine gives the tetraacetoxy derivative (II), which is treated with dry HCl in acetic anhydride to yield 2-acetamido-3,4,6-tri-O-acetyl-1-chloro-2-deoxy-alpha-D-glucopyranose (III). The condensation of (III) with 7-benzyloxy-6-hydroxy-2H-1-benzopyran-2-one (IV) by means of NaOH and benzyl triethylammonium chloride in chloroform affords the acetylated glucoside (V), which is selectively deacetylated with NaOMe in hot methanol to provide the benzyl protected glucoside (VI). Finally, this compound is debenzylated by hydrogenation with H2 over Pd/C in dimethoxyethane/water to furnish the target glycoside. The intermediate 7-benzyloxy-6-hydroxy-2H-1-benzopyran-2-one (IV) is obtained as follows: The reaction of Esculein (VII) with benzyl chloride, K2CO3, KI and 18-C-6 in hot DMF gives 7-benzyloxy-6-(D-glucopyranosyloxy)-2H-1-benzopyran-2-one (VIII), which is finally deglycosylated by means of HCl in methanol to afford the target intermediate (IV).

参考文献No.30277
标题:Esculetin derivs., method for manufacture thereof, and pharmaceutical compsn.
作者:Watanabe, K.; Niimura, K.; Yamazaki, T.; Maruoka, H. (Kureha Chemical Industry Co. Ltd.)
来源:CA 2166168; EP 0719770; JP 1996183785; US 5731293
合成路线图解说明:

The acetylation of N-acetyl-D-glucosamine (I) with Ac2O and pyridine gives the tetraacetoxy derivative (II), which is treated with dry HCl in acetic anhydride to yield 2-acetamido-3,4,6-tri-O-acetyl-1-chloro-2-deoxy-alpha-D-glucopyranose (III). The condensation of (III) with 7-benzyloxy-6-hydroxy-2H-1-benzopyran-2-one (IV) by means of NaOH and benzyl triethylammonium chloride in chloroform affords the acetylated glucoside (V), which is selectively deacetylated with NaOMe in hot methanol to provide the benzyl protected glucoside (VI). Finally, this compound is debenzylated by hydrogenation with H2 over Pd/C in dimethoxyethane/water to furnish the target glycoside. The intermediate 7-benzyloxy-6-hydroxy-2H-1-benzopyran-2-one (IV) is obtained as follows: The reaction of Esculein (VII) with benzyl chloride, K2CO3, KI and 18-C-6 in hot DMF gives 7-benzyloxy-6-(D-glucopyranosyloxy)-2H-1-benzopyran-2-one (VIII), which is finally deglycosylated by means of HCl in methanol to afford the target intermediate (IV).

Drug Information Express,Drug R&D,Chemical Database,Patent Search.
Copyright © 2006-2026 Drug Future. All rights reserved.Contact Us