【药物名称】Nitroflurbiprofen, Flurbiprofen nitroxybutyl ester, NO-flurbiprofen, HCT-1026
化学结构式(Chemical Structure):
参考文献No.545295
标题:HCT-1026
作者:Benedini, F.; Burgaud, J.L.; Del Soldato, P.; Robinson, E.M.
来源:Drugs Fut 1999,24(8),858
合成路线图解说明:

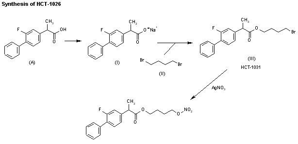
The adopted procedure for the preparation of HCT-1026 consisted in the reaction of flurbiprofen sodium salt (I) and 1,4-dibromobutane (II) in acetonitrile at reflux temperature to obtain HCT-1031 (III), the 4-bromobutyl ester of flurbiprofen. HCT-1031 was then converted into HCT-1026 by reaction with silver nitrate in acetonitrile at reflux temperature. The crude HCT-1026 thus obtained showed 85% HPLC purity with the presence of one major impurity (15%) that was identified as the bis-compound HCT-1028. The crude product was then purified by silica gel column chromatography using toluene as eluent to give a product with >99% HPLC purity in 57% overall yield. After cooling, pure HCT-1026 was obtained as a thick oil.

Drug Information Express,Drug R&D,Chemical Database,Patent Search.
Copyright © 2006-2026 Drug Future. All rights reserved.Contact Us