【药物名称】Kahalalide F, PM-92102
化学结构式(Chemical Structure):
参考文献No.50661
标题:Kahalalide cpds.
作者:Royo, M.; Manzanares, I.; Lopez, A.; Jimenez, J.C.; Albericio, F.; Giralt, E.; Rodrigues, I. (PharmaMar, SA)
来源:WO 0158934
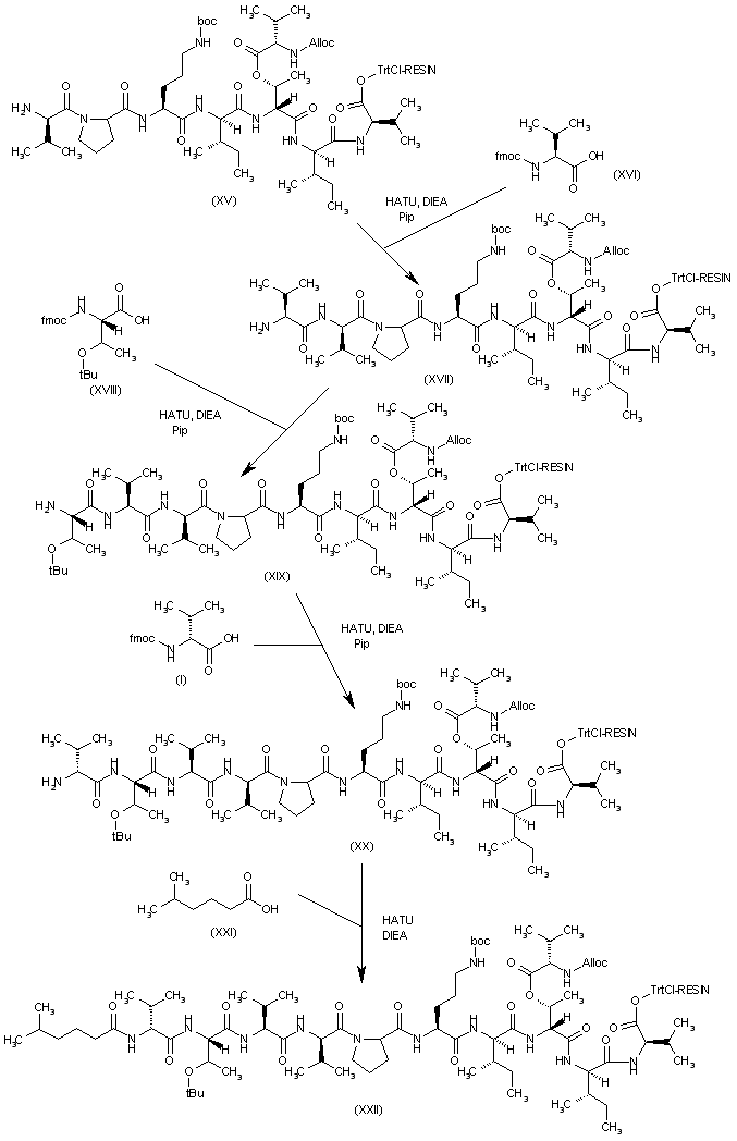
合成路线图解说明:

The anchoring of Fmoc-D-Val-OH (I) to Cl-TrtCl-RESIN (II) by means of DIEA, followed by cleavage of the Fmoc protecting group with piperidine in DMF, gives the resin-bonded valine (III), which is submitted to successive deprotection/coupling cycles with Fmoc-D-allo-Ile-OH (IV), Fmoc-D-allo-Thr-OH (VI) and again Fmoc-D-allo-Ile-OH (IV) to yield peptide resins (V), (VII) and (VIII), respectively. The coupling of Alloc-L-Val-OH (IX) to the free OH group of the Thr amino acid of peptide resin (VII) by means of DIPCDI and DMAP affords peptide resin (X), which is submitted to successive deprotection/coupling cycles with Fmoc-L-Orn(Boc)-OH (XI), Fmoc-D-Pro-OH (XIII) and Fmoc-D-Val-OH (I) to provide peptide resins (XII), (XIV) and (XV), respectively.

合成路线图解说明:

Successive deprotection/coupling cycles of peptide resin (XV) with Fmoc-L-Val-OH (XVI), Fmoc-L-Thr(tBu)-OH (XVIII), Fmoc-D-Val-OH (I) and 5-methylhexanoic acid (XXI) give peptide resins (XVII), (XIX), (XX) and (XXII), respectively.

合成路线图解说明:

Elimination of the Alloc protecting group of resin (XXII) by means of Pd(PPh3)4 and PhSiH3 gives peptide resin (XXIII), which is coupled successively with Fmoc-L-Thr-OH (XXIV) and Alloc-L-Phe-OH (XXVI) to yield peptide resins (XXV) and (XXVII), respectively.

合成路线图解说明:

The dehydration of peptide resin (XXVII) by means of EDC and CuCl in DMF/dichloromethane, followed by elimination of the Alloc protecting group with Pd(PPh3)4 and PhSiH3, gives the peptide resin (XXVIII). The cleavage of the protected peptide from the resin was performed with TFA in dichloromethane to yield peptide (XXIX), which is cyclized by means of DIEA and benzotriazol-1-yl-N-oxy-tris(pyrrolidino)phosphonium hexafluorophosphate (PyBOP) and finally deprotected with TFA in water to afford the target kahalalide F.

Drug Information Express,Drug R&D,Chemical Database,Patent Search.
Copyright © 2006-2026 Drug Future. All rights reserved.Contact Us