【药物名称】FP-21399
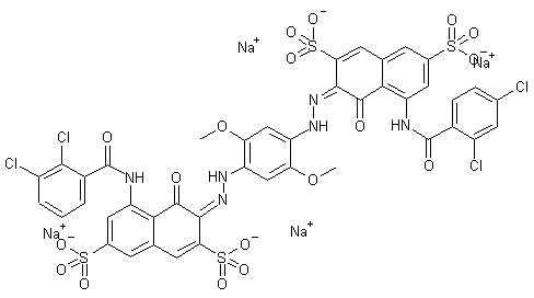
化学结构式(Chemical Structure):
参考文献No.41664
标题:Bisazo cpds.
作者:Mori, H.; Ogawa, T.; Yamazaki, S.; Satoh, H.; Kitaguchi, H.; Nishikawa, N.; Xu, H.; Izushi, T. (Fuji Photo Film Co., Ltd.)
来源:EP 0747449; US 5717080; WO 9523189
合成路线图解说明:

Acylation of 4-amino-5-hydroxynaphthalene-2,7-disulfonic acid (I) with 2,3-dichlorobenzoyl chloride (II) under Schotten-Baumann conditions afforded the dichlorobenzamido compound (III). The diazonium salt (V), prepared by diazotization of 2,5-dimethoxy-4-nitroaniline (IV), was then coupled to naphthol disulfonate (III) yielding the diazo adduct (VI). Subsequent nitro group reduction in (VI) employing sodium sulfide produced the amino derivative (VII).

合成路线图解说明:

Similarly, amide (IX) was prepared by acylation of (I) with 2,4-dichlorobenzoyl chloride (VIII) using the same method as in Scheme 22470201a.

合成路线图解说明:

Diazotization of aniline (VII) produced the diazonium salt (X), which was finally coupled to the naphthol derivative (IX) producing the title bis-diazo compound.

Drug Information Express,Drug R&D,Chemical Database,Patent Search.
Copyright © 2006-2026 Drug Future. All rights reserved.Contact Us