【药物名称】Roxifiban acetate, SC-887(mesylate), DMP-755(free base), XU-070(HCl), DMP-754, Lumaxis
化学结构式(Chemical Structure):
参考文献No.53979
标题:An efficient method for the conversion of nitriles to amidines
作者:Confalone, P.N.; Li, H.-Y.; Ma, P. (DuPont Pharmaceuticals Co.)
来源:WO 9918090
合成路线图解说明:

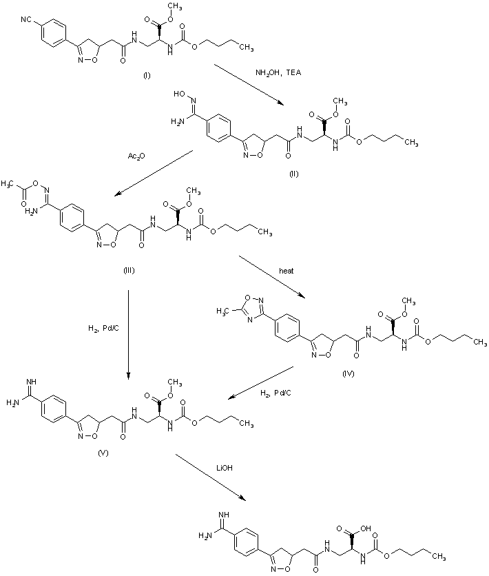
The reaction of N-(butoxycarbonyl)-3-[2-[3-(4-cyanophenyl)-4,5-dihydroisoxazol-5(R)-yl]acetamido]-L-alanine methyl ester (I) (intermediate (VII) in scheme no. 22467601a) with hydroxylamine and TEA in hot methanol gives the N-hydroxyamidine compound (II), which is treated with Ac2O in acetic acid to yield the N-acetoxyamidino compound (III). The cyclization of (III) by means of Ac2O in refluxing acetic aid affords the 1,2,4-oxadiazole derivative (IV), which is reduced with H2 over Pd/C in methanol/HOAc to provide the amidino derivative (V). Alternatively, the direct reduction of N-acetoxyamidino derivative (III) with H2 over Pd/C in acetic acid also gives the amidino derivative (V). Finally, the methyl ester group of compound (V) is hydrolyzed with LiOH in THF to yield the target roxifiban acetate.

参考文献No.376377
标题:The chiral specific synthesis of DMP 754, a platelet GPIIb/IIIa antagonist
作者:Anzalone, L.; Storace, L. Ward, R.; Kauffman, G.S.; Zhang, L.-H.; Ma, P.
来源:Tetrahedron Lett 1996,37(26),4455-8
合成路线图解说明:

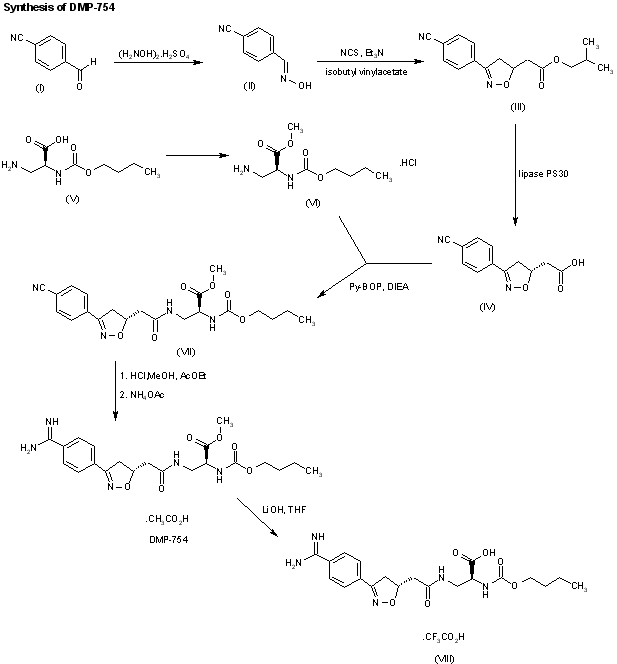
Reaction of 4-cyanobenzaldehyde (I) with hydroxylamine sulfate in methanol gives 4-cyanobenzaldoxime (II). A 1,3-dipolar cycloaddition of (II) with isobutyl vinylacetate using N-chlorosuccinimide provides the racemic isoxazoline derivative (III). Treatment of (III) with lipase PS30 selectively converts the (R)-isomer to an optically pure acid (IV). Coupling of (IV) with methyl N2-(n-butyloxycarbonyl)-L-2,3-diaminopropionate (VI), which is derived from its corresponding commerically available acid (V), gives the intermediate (VII). Treatment of (VII) with HCl in methanol and ethyl acetate followed by ammonium acetate affords DMP 754 as a crystalline product. Saponification of DMP 754 using LiOH provides the corresponding acid (VIII).

合成路线图解说明:

The reaction of N-(butoxycarbonyl)-3-[2-[3-(4-cyanophenyl)-4,5-dihydroisoxazol-5(R)-yl]acetamido]-L-alanine methyl ester (I) (intermediate (VII) in scheme no. 22467601a) with hydroxylamine and TEA in hot methanol gives the N-hydroxyamidine compound (II), which is treated with Ac2O in acetic acid to yield the N-acetoxyamidino compound (III). The cyclization of (III) by means of Ac2O in refluxing acetic aid affords the 1,2,4-oxadiazole derivative (IV), which is reduced with H2 over Pd/C in methanol/HOAc to provide the amidino derivative (V). Alternatively, the direct reduction of N-acetoxyamidino derivative (III) with H2 over Pd/C in acetic acid also gives the amidino derivative (V). Finally, the methyl ester group of compound (V) is hydrolyzed with LiOH in THF to yield the target roxifiban acetate.

Drug Information Express,Drug R&D,Chemical Database,Patent Search.
Copyright © 2006-2026 Drug Future. All rights reserved.Contact Us