【药物名称】Brasofensine sulfate, BMS-204756, NS-2214
化学结构式(Chemical Structure):
参考文献No.28258
标题:Tropane-2-aldoxine derivs. as neurotransmitter reuptake inhibitors
作者:Moldt, P.; W鋞jen, F.; Scheel-Kr黦er, J. (NeuroSearch A/S)
来源:EP 0756596; JP 1997505607; US 5736556; WO 9528401
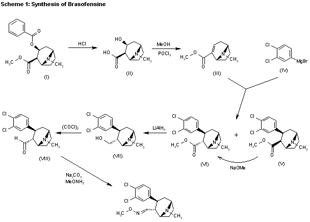
合成路线图解说明:

The hydrolysis of (1R,2R,3S,5S)-3-(benzoyloxy)-8-methyl-8-azabicyclo[3.2.1]octane-2-carboxylic acid methyl ester (I) with refluxing 1M HCl gives the corresponding hydroxy acid (II), which is dehydrated with refluxing POCl3 and treated with methanol to the unsaturated methyl ester (III). The reaction of (III) with 3,4-dichlorophenylmagnesium bromide in ether yields a mixture of (1R,2S,3S,5S)- and (1R,2R,3S,5S)-3-(3,4-dichlorophenyl)-8-methyl-8-azabicyclo[3.2.1]octane-2-carboxylic acid methyl esters (V) and (VI), respectively. Enantiomer (V) is isomerized to (VI) by treating the mixture with sodium methoxide in refluxing methanol. The reduction of (VI) with LiAlH4 in ethyl ether gives (1R,2R,3S,5S)-[3-(3,4-dichlorophenyl)-8-methyl-8-azabicyclo[3.2.1]octan-2-yl]methanol (VII), which is oxidized with oxalyl chloride in dichloromethane, affording aldehyde (VIII). Finally, this compound is treated with methoxyammonium chloride and Na2CO3 in methanol, giving brasofensine as an oil. Several salts of brasofensine were obtained by addition of the acid to a solution of brasofensine in ethanol and recrystallization from either water or isopropanol.

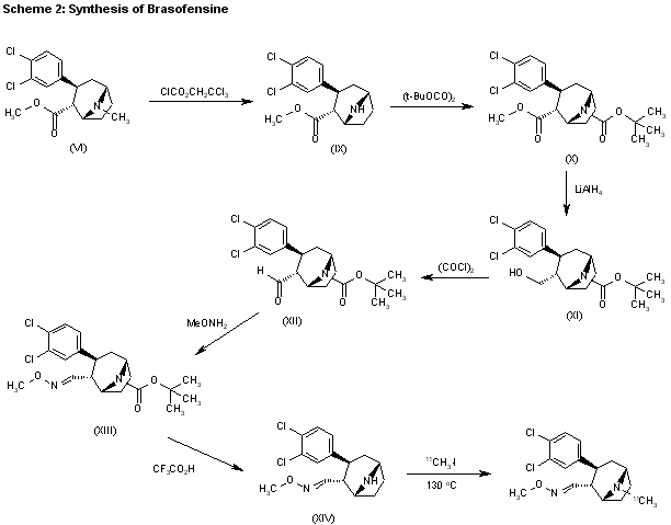
合成路线图解说明:

Synthesis of 8-[11C-methyl]-brasofensine: The demethylation of the previously described intermediate (VI) by means of 2,2,2-trichloroethyl chloroformate in refluxing toluene gives the expected ester (IX), which is protected with di-tert-butyl dicarbonate in THF, affording (1R,2R,3S,5S)-8-(tert-butoxycarbonyl)-3-(3,4-dichlorophenyl)-8-azabicyclo[3.2.1]octane-2-carboxylic acid methyl ester (X). The reduction of (X) with LiAlH4 in ethyl ether gives (1R,2R,3S,5S)-8-(tert-butoxycarbonyl)-[3-(3,4-dichlorophenyl)-8-methyl-8-azabicyclo[3.2.1]octan-2-yl]methanol (XI), which is oxidized with oxalyl chloride in dichloromethane, affording the aldehyde (XII). The reaction of (XII) with methoxyammonium chloride and Na2CO3 in methanol gives the O-methyloxime (XIII), which is deprotected with trifluoroacetic acid in dichloromethane, yielding (1R,2R,3S,5S)-3-(3,4-dichlorophenyl)-8-azabicyclo[3.2.1]octane-2-carbadehyde O-methyloxime (XIV). Finally, this compound is methylated with [11C]-methyl iodide in DMSO at 130 C.

参考文献No.461405
标题:The labelling of a novel tropane derivative [C-11]NS 2214 (BMS-204756) - An inhibitor of the dopamine transporter
作者:Gjedde, A.; Moldt, P.; Gee, A.D.
来源:J Label Compd Radiopharm 1997,39(12),959
合成路线图解说明:

Synthesis of 8-[11C-methyl]-brasofensine: The demethylation of the previously described intermediate (VI) by means of 2,2,2-trichloroethyl chloroformate in refluxing toluene gives the expected ester (IX), which is protected with di-tert-butyl dicarbonate in THF, affording (1R,2R,3S,5S)-8-(tert-butoxycarbonyl)-3-(3,4-dichlorophenyl)-8-azabicyclo[3.2.1]octane-2-carboxylic acid methyl ester (X). The reduction of (X) with LiAlH4 in ethyl ether gives (1R,2R,3S,5S)-8-(tert-butoxycarbonyl)-[3-(3,4-dichlorophenyl)-8-methyl-8-azabicyclo[3.2.1]octan-2-yl]methanol (XI), which is oxidized with oxalyl chloride in dichloromethane, affording the aldehyde (XII). The reaction of (XII) with methoxyammonium chloride and Na2CO3 in methanol gives the O-methyloxime (XIII), which is deprotected with trifluoroacetic acid in dichloromethane, yielding (1R,2R,3S,5S)-3-(3,4-dichlorophenyl)-8-azabicyclo[3.2.1]octane-2-carbadehyde O-methyloxime (XIV). Finally, this compound is methylated with [11C]-methyl iodide in DMSO at 130 C.

参考文献No.474033
标题:Brasofensine Sulfate
作者:Casta馿r, J.; Graul, A.
来源:Drugs Fut 1999,24(2),128
合成路线图解说明:

The hydrolysis of (1R,2R,3S,5S)-3-(benzoyloxy)-8-methyl-8-azabicyclo[3.2.1]octane-2-carboxylic acid methyl ester (I) with refluxing 1M HCl gives the corresponding hydroxy acid (II), which is dehydrated with refluxing POCl3 and treated with methanol to the unsaturated methyl ester (III). The reaction of (III) with 3,4-dichlorophenylmagnesium bromide in ether yields a mixture of (1R,2S,3S,5S)- and (1R,2R,3S,5S)-3-(3,4-dichlorophenyl)-8-methyl-8-azabicyclo[3.2.1]octane-2-carboxylic acid methyl esters (V) and (VI), respectively. Enantiomer (V) is isomerized to (VI) by treating the mixture with sodium methoxide in refluxing methanol. The reduction of (VI) with LiAlH4 in ethyl ether gives (1R,2R,3S,5S)-[3-(3,4-dichlorophenyl)-8-methyl-8-azabicyclo[3.2.1]octan-2-yl]methanol (VII), which is oxidized with oxalyl chloride in dichloromethane, affording aldehyde (VIII). Finally, this compound is treated with methoxyammonium chloride and Na2CO3 in methanol, giving brasofensine as an oil. Several salts of brasofensine were obtained by addition of the acid to a solution of brasofensine in ethanol and recrystallization from either water or isopropanol.

合成路线图解说明:

Synthesis of 8-[11C-methyl]-brasofensine: The demethylation of the previously described intermediate (VI) by means of 2,2,2-trichloroethyl chloroformate in refluxing toluene gives the expected ester (IX), which is protected with di-tert-butyl dicarbonate in THF, affording (1R,2R,3S,5S)-8-(tert-butoxycarbonyl)-3-(3,4-dichlorophenyl)-8-azabicyclo[3.2.1]octane-2-carboxylic acid methyl ester (X). The reduction of (X) with LiAlH4 in ethyl ether gives (1R,2R,3S,5S)-8-(tert-butoxycarbonyl)-[3-(3,4-dichlorophenyl)-8-methyl-8-azabicyclo[3.2.1]octan-2-yl]methanol (XI), which is oxidized with oxalyl chloride in dichloromethane, affording the aldehyde (XII). The reaction of (XII) with methoxyammonium chloride and Na2CO3 in methanol gives the O-methyloxime (XIII), which is deprotected with trifluoroacetic acid in dichloromethane, yielding (1R,2R,3S,5S)-3-(3,4-dichlorophenyl)-8-azabicyclo[3.2.1]octane-2-carbadehyde O-methyloxime (XIV). Finally, this compound is methylated with [11C]-methyl iodide in DMSO at 130 C.

Drug Information Express,Drug R&D,Chemical Database,Patent Search.
Copyright © 2006-2026 Drug Future. All rights reserved.Contact Us