【药物名称】Roflumilast, APTA-2217, BY-217, Daxas
化学结构式(Chemical Structure):
参考文献No.25884
标题:Fluoroalkoxy-substd. benzamides and their use as cyclic nucleotide phosphodiesterase inhibitors
作者:Flockerzi, D.; Gutterer, B.; Hatzelmann, A.; Schudt, C.; Beume, R.; Kilian, U.; Wolf, H.P.O. (Byk Gulden Lomberg Chemische Fabrik GmbH)
来源:EP 0706513; JP 1996512041; US 5712298; WO 9501338
合成路线图解说明:

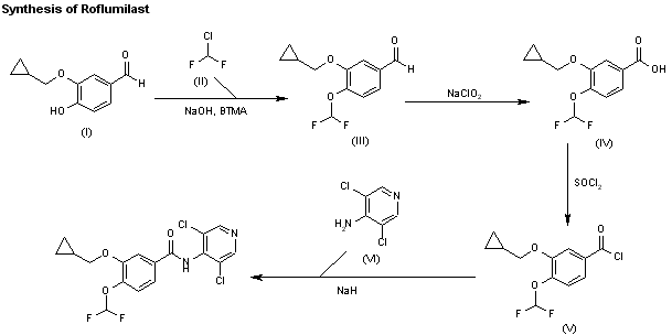
Condensation of the benzaldehyde derivative (I) with chlorodifluoromethane (II) by means of NaOH and benzyltrimethylammonium chloride (BTMA) in dioxane/water gives 3-(cyclopropylmethoxy)-4-(difluoromethoxy)benzaldehyde (III), which is oxidized with NaClO2 and sulfamic acid in acetic acid to yield the corresponding benzoic acid derivative (IV). The reaction of (IV) with SOCl2 in refluxing toluene affords the acyl chloride (V), which is finally condensed with 3,5-dichloropyridin-4-amine (VI) by means of NaH in THF.

参考文献No.604045
标题:Roflumilast
作者:Casta馿r, J.; Leeson, P.A.; Sorbera, L.A.
来源:Drugs Fut 2000,25(12),1261
合成路线图解说明:

Condensation of the benzaldehyde derivative (I) with chlorodifluoromethane (II) by means of NaOH and benzyltrimethylammonium chloride (BTMA) in dioxane/water gives 3-(cyclopropylmethoxy)-4-(difluoromethoxy)benzaldehyde (III), which is oxidized with NaClO2 and sulfamic acid in acetic acid to yield the corresponding benzoic acid derivative (IV). The reaction of (IV) with SOCl2 in refluxing toluene affords the acyl chloride (V), which is finally condensed with 3,5-dichloropyridin-4-amine (VI) by means of NaH in THF.

Drug Information Express,Drug R&D,Chemical Database,Patent Search.
Copyright © 2006-2026 Drug Future. All rights reserved.Contact Us