【药物名称】L-751852
化学结构式(Chemical Structure):
参考文献No.26525
标题:Fused tricyclic heteroaromatic derivs. as dopamine receptor subtype ligands
作者:Collins, I.J.; Leeson, P.D.; Rowley, M. (Merck Sharp & Dohme Ltd.)
来源:EP 0717733; JP 1997502199; WO 9507262
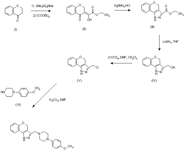
合成路线图解说明:

Condensation of 4-chromanone (I) with diethyl oxalate in the presence of sodium hexamethyldisilazane in THF at low temperature gave diketone (II), which on cyclization with hydrazine hydrochloride in refluxing ethanol provided pyrazole (III). Reduction of the ester group with LiAlH4 in THF yielded alcohol (IV). This was converted into chloride (V) by reaction with the complex between oxalyl chloride and dimethylformamide. Finally, alkylation of 1-(4-methoxyphenyl)piperazine (VI) with this chloride furnished the title compound.

Drug Information Express,Drug R&D,Chemical Database,Patent Search.
Copyright © 2006-2026 Drug Future. All rights reserved.Contact Us