【药物名称】NNC-21-0113
化学结构式(Chemical Structure):
参考文献No.26584
标题:Chemical cpds., their preparation and use
作者:Lau, J.; Knutsen, L.J.S. (Novo Nordisk A/S)
来源:EP 0719275; JP 1999511436; US 5589467; WO 9507921
合成路线图解说明:

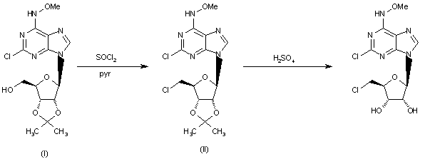
By chlorination of 2-chloro-2',3'-isopropylidene-N-methoxyadenosine (I) with SOCl2 and pyridine gives the 2,5'-dichloro derivative (II), which is deprotected to the target compound with sulfuric acid in methanol.

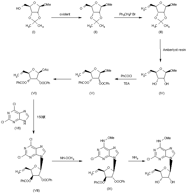
合成路线图解说明:

The oxidation of 1-O-mehyl 2,3-isopropylidene-D-ribofuranoside (I) gives the corresponding aldehyde (II), which is condensed with methyltriphenylphosphonium bromide by means of butyllithium in THF yielding methyl 5-deoxy-2,3-isopropylidene-5-methylene-D-ribofuranoside (III). Elimination of the isopropylidene protecting group by passing through an Amberlyst resin (acid form) affords the free ribofuranoside (IV), which is benzoylated with benzoyl chloride and triethylamine in dichloromethane to afford the dibenzoyl derivative (V). The methyl ribofuranoside (V) was converted into the 1-O-acetyl derivative (VI) and condensed with 2,6-dichloro-9H-purine (VII) by heating at 150 C to provide the dichloropurine derivative (VIII), which is treated with O-methylhydroxylamine and triethylamine to afford 2',3'-di-O-benzoyl-2-chloro-5'-deoxy-N-methoxy-5'-methyleneadenosine (IX). Finally, this compound is debenzoylated with ammonia in methanol.

合成路线图解说明:

4-Hydroxypiperidine (I) was protected as the tert-butyl carbamate (II) upon treatment with (Boc)2O. Subsequent Mitsunobu coupling of (II) with diphenyl disulfide using tributylphosphine and diethyl azodicarboxylate afforded thioether (III). Acid deprotection of the Boc group of (III), followed by nitrosation of the resulting amine (IV) gave N-nitrosopiperidine (V). Further reduction of (V) with LiAlH4 yielded hydrazine (VI). Condensation of (VI) with dichloropurine derivative (VII) produced piperidinyladenosine (VIII). Debenzoylation of the tribenzoate ester (VIII) with methanolic ammonia gave (IX). Then, chlorination at position 5' with concomitant formation of the 2',3' cyclic sulfite (X) by reaction with thionyl chloride and pyridine was followed by sulfite hydrolysis with methanolic ammonia to yield the title compound.

Drug Information Express,Drug R&D,Chemical Database,Patent Search.
Copyright © 2006-2026 Drug Future. All rights reserved.Contact Us