【药物名称】Lixivaptan, WAY-VPA-985, VPA-985
化学结构式(Chemical Structure):
参考文献No.26311
标题:Tricyclic diazepine vasopressin antagonists and oxytocin antagonists
作者:Albright, J.D.; Reich, M.F.; Sum, F.-W.; Delos Santos, E.G. (American Cyanamid Co.)
来源:CA 2128956; EP 0636625; JP 1995157486; US 5516774
合成路线图解说明:

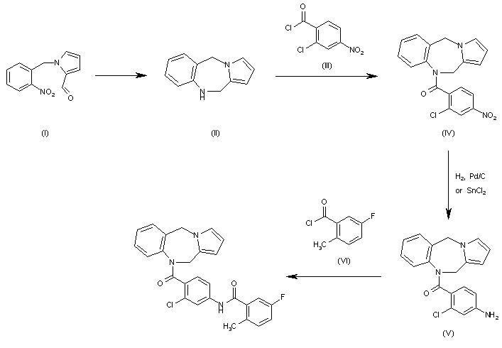
The reductocyclization of 1-(2-nitrobenzyl)pyrrole-2-carbaldehyde (I) gives the pyrrolobenzodiazepine (II), which is acylated with 2-chloro-4-nitrobenzoyl chloride (III) giving the expected 10-benzoyl derivative (IV). The reduction of the nitro group of (IV) with H2 over Pd/C or with SnCl2 yields the corresponding 4-amino derivative (V), which is finally acylated with 5-fluoro-2-methylbenzoyl chloride.

合成路线图解说明:

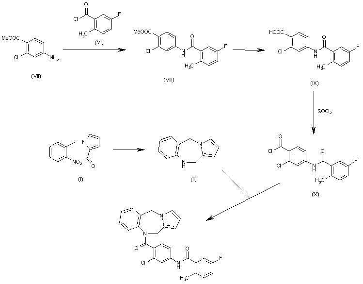
The acylation of 4-amino-2-chlorobenzoic acid methyl ester (VII) with 5-fluoro-2-methylbenzoyl chloride (VI) gives the corresponding amide (VIII), which is hydrolyzed at the ester group yielding the corresponding free acid (IX). The reaction of (IX) with SOCl2 affords the acyl chloride (X), which is finally condensed with the pyrrolobenzodiazepine (II) (obtained by the reductocyclization of 1-(2-nitrobenzyl)pyrrole-2-carbaldehyde (I)) to provide the target compound.

参考文献No.37587
标题:Tricyclic diazepine vasopressin antagonists and oxytocin antagonists
作者:Reich, M.F.; Delos Santos, E.G.; Sum, F.-W.; Albright, J.D. (American Cyanamid Co.)
来源:US 5733905
合成路线图解说明:

The reductocyclization of 1-(2-nitrobenzyl)pyrrole-2-carbaldehyde (I) gives the pyrrolobenzodiazepine (II), which is acylated with 2-chloro-4-nitrobenzoyl chloride (III) giving the expected 10-benzoyl derivative (IV). The reduction of the nitro group of (IV) with H2 over Pd/C or with SnCl2 yields the corresponding 4-amino derivative (V), which is finally acylated with 5-fluoro-2-methylbenzoyl chloride.

合成路线图解说明:

The acylation of 4-amino-2-chlorobenzoic acid methyl ester (VII) with 5-fluoro-2-methylbenzoyl chloride (VI) gives the corresponding amide (VIII), which is hydrolyzed at the ester group yielding the corresponding free acid (IX). The reaction of (IX) with SOCl2 affords the acyl chloride (X), which is finally condensed with the pyrrolobenzodiazepine (II) (obtained by the reductocyclization of 1-(2-nitrobenzyl)pyrrole-2-carbaldehyde (I)) to provide the target compound.

参考文献No.37588
标题:Tricyclic diazepine vasopressin antagonists and oxytocin antagonists
作者:Albright, J.D.; Sum, F.-W.; Delos Santos, E.G.; Reich, M.F. (American Cyanamid Co.)
来源:US 5736540
合成路线图解说明:

The reductocyclization of 1-(2-nitrobenzyl)pyrrole-2-carbaldehyde (I) gives the pyrrolobenzodiazepine (II), which is acylated with 2-chloro-4-nitrobenzoyl chloride (III) giving the expected 10-benzoyl derivative (IV). The reduction of the nitro group of (IV) with H2 over Pd/C or with SnCl2 yields the corresponding 4-amino derivative (V), which is finally acylated with 5-fluoro-2-methylbenzoyl chloride.

合成路线图解说明:

The acylation of 4-amino-2-chlorobenzoic acid methyl ester (VII) with 5-fluoro-2-methylbenzoyl chloride (VI) gives the corresponding amide (VIII), which is hydrolyzed at the ester group yielding the corresponding free acid (IX). The reaction of (IX) with SOCl2 affords the acyl chloride (X), which is finally condensed with the pyrrolobenzodiazepine (II) (obtained by the reductocyclization of 1-(2-nitrobenzyl)pyrrole-2-carbaldehyde (I)) to provide the target compound.

参考文献No.470955
标题:5-Fluoro-2-methyl-N-[4-(5H-pyrrolo[2,1-c][1,4]benzodiazepin-10(11H)-ylcarbonyl)-3-chlorophenyl]benzamide (VPA-985): An orally active arginine vasopressin antagonist with selectivity for V2 receptors
作者:Albright, J.D.; Reich, M.F.; Delos Santos, E.G.; Dusza, J.P.; Sum, F.W.; Venkatesan, A.M.; Coupet, J.; Chan, P.S.; Ru, X.; Mazandarani, H.; Bailey, T.
来源:J Med Chem 1998,41(14),2442
合成路线图解说明:

The reductocyclization of 1-(2-nitrobenzyl)pyrrole-2-carbaldehyde (I) gives the pyrrolobenzodiazepine (II), which is acylated with 2-chloro-4-nitrobenzoyl chloride (III) giving the expected 10-benzoyl derivative (IV). The reduction of the nitro group of (IV) with H2 over Pd/C or with SnCl2 yields the corresponding 4-amino derivative (V), which is finally acylated with 5-fluoro-2-methylbenzoyl chloride.

合成路线图解说明:

The acylation of 4-amino-2-chlorobenzoic acid methyl ester (VII) with 5-fluoro-2-methylbenzoyl chloride (VI) gives the corresponding amide (VIII), which is hydrolyzed at the ester group yielding the corresponding free acid (IX). The reaction of (IX) with SOCl2 affords the acyl chloride (X), which is finally condensed with the pyrrolobenzodiazepine (II) (obtained by the reductocyclization of 1-(2-nitrobenzyl)pyrrole-2-carbaldehyde (I)) to provide the target compound.

合成路线图解说明:

The pyrrolobenzodiazepine (I) is prepared in two steps. The sodium salt of pyrrole-2-carboxaldehyde (II) is prepared in DMF using NaH. Alkylation with 2-nitrobenzyl bromide (III) proceeds in excellent yield. Reduction with hydrogen over Raney nickel effects reduction of the nitro group to the amine which cyclizes in situ to the seven-membered imine that is reduced to the pyrrolobenzodiazepine in excellent yield in one pot.

Drug Information Express,Drug R&D,Chemical Database,Patent Search.
Copyright © 2006-2026 Drug Future. All rights reserved.Contact Us