【药物名称】TBC-10950, IPI-950
化学结构式(Chemical Structure):
参考文献No.486229
标题:The discovery and structure-activity relationships of nonpeptide, low molecular weight antagonists selective for the endothelin ETB receptor
作者:Chan, M.F.; Kois, A.; Verner, E.J.; Raju, B.G.; Castillo, R.S.; Wu, C.; Okun, I.; Stavros, F.D.; Balaji, V.N.
来源:Bioorg Med Chem 1998,6(12),2301
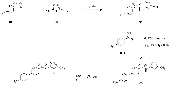
合成路线图解说明:

4-Bromobenzenesulfonyl chloride (I) was condensed with aminoisoxazole (II) in pyridine to afford sulfonamide (III). Subsequent Suzuki coupling of (III) to 4-tolylboronic acid (IV) under palladium catalysis provided biphenylsulfonamide (V), which was finally brominated with N-bromosuccinimide in cold CH2Cl2 to furnish the target bromoisoxazole.

合成路线图解说明:

Suzuki coupling of 4-tolylboronic acid (I) with 2-bromothiophene (II) under palladium catalysis provided tolylthiophene (III). Subsequent chlorosulfonation of (III) with chlorosulfonic acid in the presence of PCl5 and POCl3 afforded sulfonyl chloride (IV), which was finally condensed with the aminoisoxazole (V) using NaH in THF to furnish the target sulfonamide.

Drug Information Express,Drug R&D,Chemical Database,Patent Search.
Copyright © 2006-2026 Drug Future. All rights reserved.Contact Us