【药物名称】Ganaxolone, CCD-1042
化学结构式(Chemical Structure):
参考文献No.29659
标题:GABA receptor modulators
作者:Bolger, M. B.; Gee, K.W.; Lan, N.; Belelli, D.; Mirsadeghi, S.; Purdy, R.H.; Tahir, S.H. (CoCensys, Inc.)
来源:WO 9303732
合成路线图解说明:

Addition of the sulfur ylide generated from trimethylsulfoxonium iodide and NaH to the 20-ethylene ketal of pregnane-3,20-dione (I) furnished the spiro oxirane derivative (II). This was reduced to the tertiary alcohol (III) by means of LiAlH4 in refluxing THF. Then, acid hydrolysis of the ethylene ketal function of (III) provided the title compound. Alternatively, the intermediate ketal (III) was prepared by addition of methylmagnesium bromide to ketone (I), followed by chromatographic separation of the resultant mixture of 3-alpha and 3-beta methyl adducts.

合成路线图解说明:

Starting from the unprotected diketone (IV), selective addition of dimethyloxosulfonium methylide to the 3 keto group furnished oxirane (V). This was then reduced to the title alcohol by treatment with tributylstannyl hydride and AIBN.

参考文献No.56597
标题:3alpha-Hydroxy steroids and esters thereof
作者:Stephenson, L.; Newall, C.E.; Phillipps, G.H.; Weir, N.G.; Cook, M.C.; Hunter, A.C.; Lawrence, R. (GlaxoSmithKline plc)
来源:GB 1380248
合成路线图解说明:

Addition of the sulfur ylide generated from trimethylsulfoxonium iodide and NaH to the 20-ethylene ketal of pregnane-3,20-dione (I) furnished the spiro oxirane derivative (II). This was reduced to the tertiary alcohol (III) by means of LiAlH4 in refluxing THF. Then, acid hydrolysis of the ethylene ketal function of (III) provided the title compound. Alternatively, the intermediate ketal (III) was prepared by addition of methylmagnesium bromide to ketone (I), followed by chromatographic separation of the resultant mixture of 3-alpha and 3-beta methyl adducts.

参考文献No.56598
标题:Anaesthetic steroids of the androstane and pregnane series
作者:Stephenson, L.; Newall, C.E.; Phillipps, G.H.; Weir, N.G.; Cook, M.C.; Hunter, A.C.; Lawrence, R. (GlaxoSmithKline plc)
来源:US 3953429
合成路线图解说明:

Addition of the sulfur ylide generated from trimethylsulfoxonium iodide and NaH to the 20-ethylene ketal of pregnane-3,20-dione (I) furnished the spiro oxirane derivative (II). This was reduced to the tertiary alcohol (III) by means of LiAlH4 in refluxing THF. Then, acid hydrolysis of the ethylene ketal function of (III) provided the title compound. Alternatively, the intermediate ketal (III) was prepared by addition of methylmagnesium bromide to ketone (I), followed by chromatographic separation of the resultant mixture of 3-alpha and 3-beta methyl adducts.

参考文献No.395533
标题:Synthesis and in vitro activity of 3beta-substituted-3alpha-hydroxypregnan-20-ones: Allosteric modulators of the GABAA receptor
作者:Hogenkamp, D.J.; Tahir, S.H.; Hawkinson, J.E.; Upasani, R.B.; Alauddin, M.M.; Kimbrough, C.L.; Acosta-Burruel, M.; Whittemore, E.R.; Woodward, R.M.; Lan, N.C.; Gee, K.W.; Bolger, M.B.
来源:J Med Chem 1997,40(1),61
合成路线图解说明:

Addition of the sulfur ylide generated from trimethylsulfoxonium iodide and NaH to the 20-ethylene ketal of pregnane-3,20-dione (I) furnished the spiro oxirane derivative (II). This was reduced to the tertiary alcohol (III) by means of LiAlH4 in refluxing THF. Then, acid hydrolysis of the ethylene ketal function of (III) provided the title compound. Alternatively, the intermediate ketal (III) was prepared by addition of methylmagnesium bromide to ketone (I), followed by chromatographic separation of the resultant mixture of 3-alpha and 3-beta methyl adducts.

合成路线图解说明:

Regioselective addition of dimethylsulfoxonium methylide to 5-alpha-pregnane-3,20-dione (I) gave the epoxide (II). Opening of the epoxide ring of (II) with sodium methoxide produced the hydroxy ether (III). Bromination of (III) with Br2 in the presence of a catalytic amount of HBr afforded bromo ketone (IV). This was then condensed with imidazole (V) in refluxing acetonitrile to furnish the title compound.

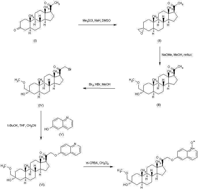
合成路线图解说明:

Regioselective addition of dimethylsulfoxonium methylide to 5-alpha-pregnane-3,20-dione (I) gave the epoxide (II). Opening of the epoxide ring of (II) with sodium methoxide produced the hydroxy ether (III). Bromination of (III) with Br2 in the presence of a catalytic amount of HBr afforded bromo ketone (IV). This was then condensed with 6-hydroxyquinoline (V) in the presence of potassium tert-butoxide to furnish the quinolinyl ether (VI). The quinoline ring was then oxidized with m-chloroperbenzoic acid, yielding the title N-oxide.

Drug Information Express,Drug R&D,Chemical Database,Patent Search.
Copyright © 2006-2026 Drug Future. All rights reserved.Contact Us