【药物名称】Becatecarin, NSC-D-640199, XL-119, DEAE-Rebeccamycin, NSC-655649, BMY-27557-14(tartrate), BMY-27557-01(HCl), BMS-181176
化学结构式(Chemical Structure):
参考文献No.8309
标题:Rebeccamycin analogs
作者:Kaneko, T.; Wong, H.S.; Utzig, J.J. (Bristol-Myers Squibb Co.)
来源:AU 8781148; EP 0269025; JP 1988198695; US 4808613
合成路线图解说明:

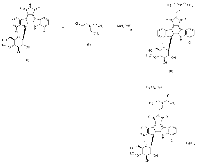
Treatment of rebeccamycin (I) with 2-(diethylamino)ethyl chloride (II) and NaH in DMF at r.t. gave 8-N-(2-diethylaminoethyl)- rebeccamycin (III) (1). The target phosphate salt was then prepared by addition of H3PO4 to a suspension of (III) in water until a pH of 3-4.

参考文献No.37010
标题:Stable solutions of rebeccamycin analog and preparation thereof
作者:Venkataram, U.V. ; Franchini, M.K.; Bogardus, J.B. (Bristol-Myers Squibb Co.)
来源:EP 0397147
合成路线图解说明:

Treatment of rebeccamycin (I) with 2-(diethylamino)ethyl chloride (II) and NaH in DMF at r.t. gave 8-N-(2-diethylaminoethyl)- rebeccamycin (III) (1). The target phosphate salt was then prepared by addition of H3PO4 to a suspension of (III) in water until a pH of 3-4.

Drug Information Express,Drug R&D,Chemical Database,Patent Search.
Copyright © 2006-2026 Drug Future. All rights reserved.Contact Us