【药物名称】Naproxen nitroxybutyl ester, Nitronaproxen, AZD-3582, ZD-3582, NO-naproxen, HCT-3012
化学结构式(Chemical Structure):
参考文献No.56594
标题:Nitric esters having anti-inflammatory and/or analgesic activity and process for their preparation
作者:Del Soldato, P.
来源:WO 9509831
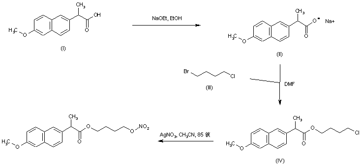
合成路线图解说明:

The sodium salt (II), prepared from racemic naproxen (I), was alkylated with 1-bromo-4-chlorobutane (III) in DMF to produce the 4-chlorobutyl ester (IV). Chloride displacement in (IV) by silver nitrate in hot acetonitrile gave rise to the target nitrate ester.

Drug Information Express,Drug R&D,Chemical Database,Patent Search.
Copyright © 2006-2026 Drug Future. All rights reserved.Contact Us