【药物名称】Susalimod
化学结构式(Chemical Structure):
参考文献No.26819
标题:Substd. salicylic acids
作者:Agback, H.; Ahrgren, L.; Berglindh, T.; Haraldsson, M.; Smedegard, G.; Olsson, L.-I. (Pharmacia & Upjohn AB)
来源:JP 1995501330; US 5403930; WO 9310094
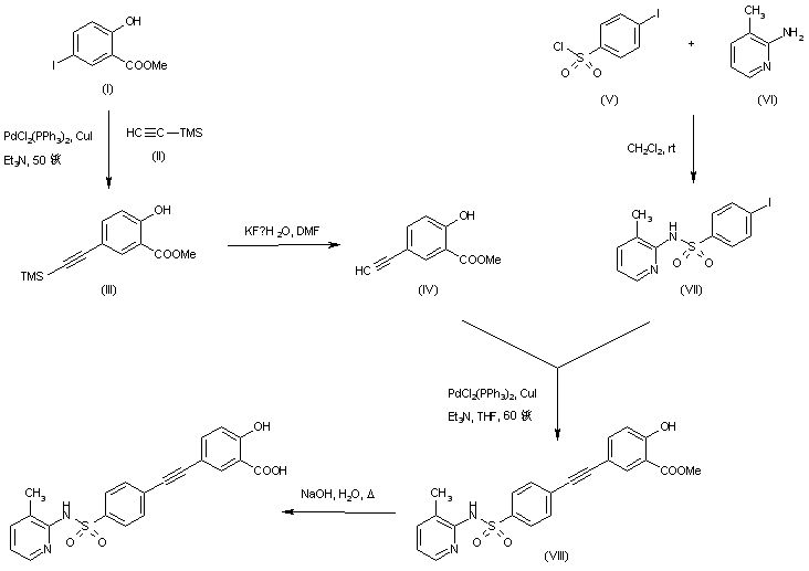
合成路线图解说明:

Palladium-catalyzed coupling of methyl 5-iodosalycilate (I) with trimethylsilyl acetylene (II) produced the ethynyl salycilate (III). The trimethylsilyl protecting group of (III) was then cleaved by treatment with KF in DMF to give (IV). On the other hand, sulfonamide (VII) was obtained by condensation of 4-iodobenzenesulfonyl chloride (V) with 2-amino-3-methylpyridine (VI). A further Suzuki coupling between acetylene (IV) and iodosulfonamide (VII) furnished diaryl acetylene (VIII). The methyl ester group of (VIII) was finally saponified with NaOH to provide the target carboxylic acid.

Drug Information Express,Drug R&D,Chemical Database,Patent Search.
Copyright © 2006-2026 Drug Future. All rights reserved.Contact Us