【药物名称】Asoprisnil, J-867
化学结构式(Chemical Structure):
参考文献No.26783
标题:11-Benzaldoximeestradiene-derivates, a process for their preparation and pharmaceutical compsns. containing them
作者:Schubert, G.; Kaufmann, G.; Sobeck, L.; Oettel, M.; Elger, W.; Kurischko, A. (Jenapharm GmbH)
来源:CA 2130516; DE 4322283; EP 0648778
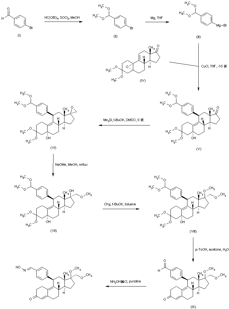
合成路线图解说明:

After protection of 4-bromobenzaldehyde (I) with triethyl orthoformate in MeOH, the resultant bromo ketal (II) was converted to the corresponding Grignard reagent (III) with magnesium in THF. Conjugate addition of (III) to the steroid epoxide (IV) in the presence of CuCl gave rise to the 11-beta-aryl steroid (V). Introduction of a 17-spiro oxirane moiety into ketone (V) to yield (VI) was accomplished by reaction with the sulfur ylide generated from trimethylsulfonium iodide and potassium tert-butoxide. Subsequent epoxide opening in (VI) with NaOMe gave rise to the methoxy alcohol (VII), which was further alkylated with iodomethane under Williamson's ether synthesis conditions to provide the dimethoxy derivative (VIII). Acid hydrolysis of both ketal groups of (VIII) with concomitant alcohol dehydration led to the dienone (IX). The aldehyde function of (IX) was finally converted to the target oxime by treatment with hydroxylamine hydrochloride in pyridine.

Drug Information Express,Drug R&D,Chemical Database,Patent Search.
Copyright © 2006-2026 Drug Future. All rights reserved.Contact Us