【药物名称】
化学结构式(Chemical Structure):
参考文献No.546567
标题:A novel class of inhibitors for human steroid 5alpha-reductase: Phenoxybenzoic acid derivatives. I
作者:Igarashi, S.; Kimura, T.; Naito, R.; Hara, H.; Fujii, M.; Koutoku, H.; Oritani, H.; Mase, T.
来源:Chem Pharm Bull 1999,47(8),1073
合成路线图解说明:

The arylation of 4-phenylphenol (I) with 3,4-dichlorobenzaldehyde (II) in the presence of K2CO3 in hot DMSO afforded diary ether (III). The target carboxylic acid was then obtained by oxidation of the aldehyde group of (III) by means of Ag2O, generated from AgNO3 and NaOH.

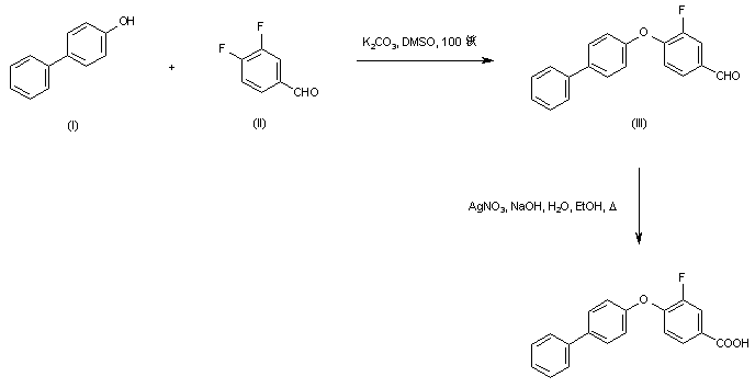
合成路线图解说明:

The arylation of 4-phenylphenol (I) with 3,4-difluorobenzaldehyde (II) in the presence of K2CO3 in hot DMSO afforded diary ether (III). The target carboxylic acid was then obtained by oxidation of the aldehyde group of (III) by means of Ag2O, generated from AgNO3 and NaOH.

Drug Information Express,Drug R&D,Chemical Database,Patent Search.
Copyright © 2006-2026 Drug Future. All rights reserved.Contact Us