【药物名称】TER-930180
化学结构式(Chemical Structure):
参考文献No.18552
标题:N-(3-Pyridylalkyl)sulfonamide deriv. and pharmaceutical preparation containing thereof
作者:Ohnishi, H.; Miyakoshi, M.; Isozaki, M.; Fujitake, M.; Mikami, N.; Yanoshita, R.; Akasofu, H.; Sugizaki, K.; Nakata, N. (Terumo Corp.)
来源:EP 0501876; JP 1992270265; JP 1993043546; JP 1993043547; US 5374641
合成路线图解说明:

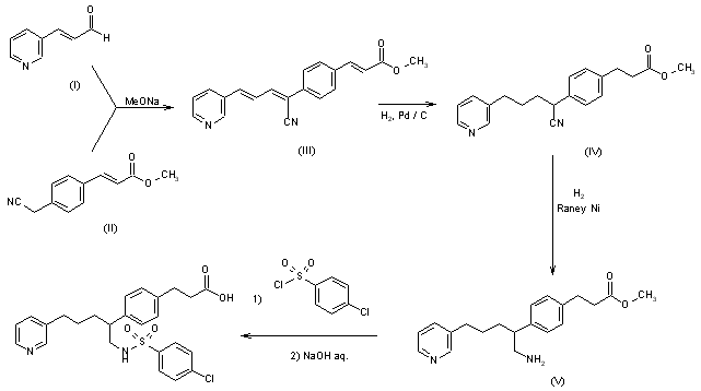
As shown in Scheme 22341901a, TER-930180 was prepared from 3-(3-pyridyl)acrolein (I) and methyl 4-(cyanomethyl)cinnamate (II). The condensation of (I) and (II) with sodium methoxide yielded a mixture of diene isomers (III), which was then hydrogenated over Pd/C in dioxane, and then over Raney Nickel at 10 approx. 15 atm of H2 in ammoniac/methanol. The amine thus obtained (IV) was treated with 4-chlorobenzenesulfonyl chloride, followed by hydrolyzation with sodium hydroxide solution, yielding TER-930180. The starting materials (I) and (II) were obtained as follows: Reduction of methyl 3-(3-pyridyl)acrylate with DIBAL, and oxidation with manganese dioxide to yield 3-(3-pyridyl)acrolein (I). Bromination of methyl 4-methylcinnamate with NBS, and cyanization with potassium cyanide in the presence of PTC produced methyl 4-cyanomethylcinnamate (II).

参考文献No.334750
标题:TER-930180
作者:Kasukawa, H.; Ohnishi, H.
来源:Drugs Fut 1996,21(1),33
合成路线图解说明:

As shown in Scheme 22341901a, TER-930180 was prepared from 3-(3-pyridyl)acrolein (I) and methyl 4-(cyanomethyl)cinnamate (II). The condensation of (I) and (II) with sodium methoxide yielded a mixture of diene isomers (III), which was then hydrogenated over Pd/C in dioxane, and then over Raney Nickel at 10 approx. 15 atm of H2 in ammoniac/methanol. The amine thus obtained (IV) was treated with 4-chlorobenzenesulfonyl chloride, followed by hydrolyzation with sodium hydroxide solution, yielding TER-930180. The starting materials (I) and (II) were obtained as follows: Reduction of methyl 3-(3-pyridyl)acrylate with DIBAL, and oxidation with manganese dioxide to yield 3-(3-pyridyl)acrolein (I). Bromination of methyl 4-methylcinnamate with NBS, and cyanization with potassium cyanide in the presence of PTC produced methyl 4-cyanomethylcinnamate (II).

Drug Information Express,Drug R&D,Chemical Database,Patent Search.
Copyright © 2006-2026 Drug Future. All rights reserved.Contact Us