【药物名称】Roxatidine bismuth citrate, MX1
化学结构式(Chemical Structure):
参考文献No.26681
标题: N-(3-(3-(1-Piperidinylmethyl)phenoxy)propyl)propenetricarboxylate bismuth (3+) complex and the method for preparation
作者:Ivanov, C.B.; Lutakov, G.I.; Nikolov, G.N.; Atanassova, R.B.; Petkov, O.V.; Taskov, M.V.; Ninova, E.A.; Tomova, V.V.; Aneva, V.T.; Mondeschka, D.M.; Schopova, S.I.; Bachvarova, A.S.; Galabova, A.A.; et al. (Chemical Pharmaceutical Research Institute)
来源:WO 9509162
合成路线图解说明:

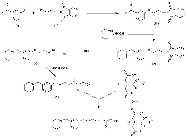
The alkylation of 3-hydroxybenzaldehyde (I) with N-(3-bromopropyl)phthalimide (II) in the presence of NaOMe leads to 3-(phthalimidopropoxy)benzaldehyde (III). The reductive alkylation of piperidine with aldehyde (III) in the presence of formic acid gives N-[3-[3-(1-piperidinylmethyl)phenoxy]propyl]phthalimide (IV), which is converted to N-[3-[3-(1-piperidinylmethyl)phenoxy]propyl]amine (V) by treatment with 6N HCl. Condensation of (V) with glycolic acid in boiling xylene provides N-[3-[3-(1-piperidinylmethyl)phenoxy]propyl]-2-hydroxyacetamide (VI), which is complexed with bismuth (+3) citrate (VII) in boiling water.

参考文献No.366593
标题:Synthesis, gastroprotective, antisecretory and anti-Helicobacter effect of +[3(3-(1-piperidinylmethyl)phenoxy)propyl]hydroxyacetamide-2-hydroxypropane-1,2,3-tricarboxylate-bismuth(3+) complex (MX1)
作者:Ivanov, C.; Petkov, O.; Petrov, P..; Taskov, M.; Atanassova, R.; Tsvetkova, E.; Kostev, V.; Lytakov, G.; Nikolov, G.; Savov, E.
来源:J Pharm Pharmacol 1996,3(3),297-301
合成路线图解说明:

The alkylation of 3-hydroxybenzaldehyde (I) with N-(3-bromopropyl)phthalimide (II) in the presence of NaOMe leads to 3-(phthalimidopropoxy)benzaldehyde (III). The reductive alkylation of piperidine with aldehyde (III) in the presence of formic acid gives N-[3-[3-(1-piperidinylmethyl)phenoxy]propyl]phthalimide (IV), which is converted to N-[3-[3-(1-piperidinylmethyl)phenoxy]propyl]amine (V) by treatment with 6N HCl. Condensation of (V) with glycolic acid in boiling xylene provides N-[3-[3-(1-piperidinylmethyl)phenoxy]propyl]-2-hydroxyacetamide (VI), which is complexed with bismuth (+3) citrate (VII) in boiling water.

参考文献No.576211
标题:Roxatidine Bismuth Citrate
作者:Mondeshka, D.; Spassov, G.; Krushkov, I.; Ivanov, C.; Marazova, K.
来源:Drugs Fut 2000,25(5),462
合成路线图解说明:

The alkylation of 3-hydroxybenzaldehyde (I) with N-(3-bromopropyl)phthalimide (II) in the presence of NaOMe leads to 3-(phthalimidopropoxy)benzaldehyde (III). The reductive alkylation of piperidine with aldehyde (III) in the presence of formic acid gives N-[3-[3-(1-piperidinylmethyl)phenoxy]propyl]phthalimide (IV), which is converted to N-[3-[3-(1-piperidinylmethyl)phenoxy]propyl]amine (V) by treatment with 6N HCl. Condensation of (V) with glycolic acid in boiling xylene provides N-[3-[3-(1-piperidinylmethyl)phenoxy]propyl]-2-hydroxyacetamide (VI), which is complexed with bismuth (+3) citrate (VII) in boiling water.

Drug Information Express,Drug R&D,Chemical Database,Patent Search.
Copyright © 2006-2026 Drug Future. All rights reserved.Contact Us