【药物名称】NSC-364432, SarCNU
化学结构式(Chemical Structure):
参考文献No.56572
标题:Nitrosourea derivs.
作者:Suami, T.
来源:US 4452814
合成路线图解说明:

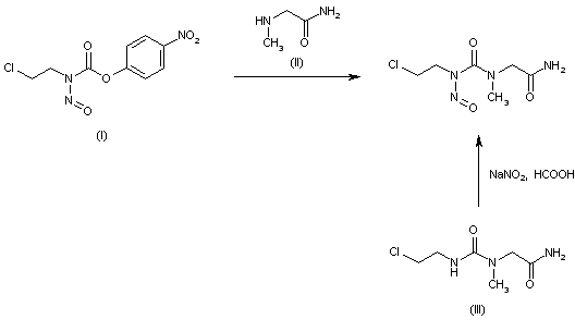
The condensation of N-(2-chloroethyl)-N-nitrosocarbamic acid 4-nitrophenyl ester (I) with sarcosinamide (II) gives the target nitrosourea. Alternatively, the nitrosation of N2-[N-(2-chloroethyl)carbamoyl]sarcosinamide (III) by means of NaNO2 and formic acid also yields the target nitrosourea.

参考文献No.688728
标题:(2-Chloroethyl)nitrosourea congeners of amino acid amides
作者:Suami, T.; Kato, T.; Takino, H.; Hisamatsu, T.
来源:J Med Chem 1982,25(7),829
合成路线图解说明:

The condensation of N-(2-chloroethyl)-N-nitrosocarbamic acid 4-nitrophenyl ester (I) with sarcosinamide (II) gives the target nitrosourea. Alternatively, the nitrosation of N2-[N-(2-chloroethyl)carbamoyl]sarcosinamide (III) by means of NaNO2 and formic acid also yields the target nitrosourea.

Drug Information Express,Drug R&D,Chemical Database,Patent Search.
Copyright © 2006-2026 Drug Future. All rights reserved.Contact Us