【药物名称】JWS-USC-75IX
化学结构式(Chemical Structure):
参考文献No.195050
标题:Synthesis and cholinergic properties of N-aryl-2-[[[5-[(dimethylamino)methyl]-2-furanyl]methyl]thio]ethylamino analogs of ranitidine
作者:Valli, M.J.; Tang, Y.; Kosh, J.W.; Chapman, J.M. Jr.; Sowell, W.
来源:J Med Chem 1992,35(17),3141
合成路线图解说明:

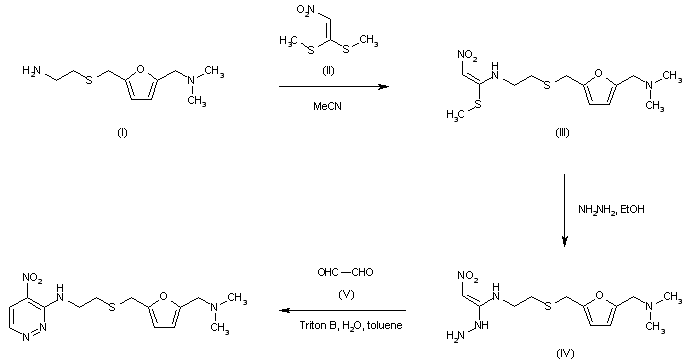
Condensation of primary amine (I) with 1,1-bis(methylthio)-2-nitroethene (II) in refluxing acetonitrile afforded adduct (III). Displacement of the methylthio group of (III) by hydrazine yielded compound (IV), which was finally condensed with glyoxal (V) in the presence of Triton B to produce the target pyridazine.

Drug Information Express,Drug R&D,Chemical Database,Patent Search.
Copyright © 2006-2026 Drug Future. All rights reserved.Contact Us