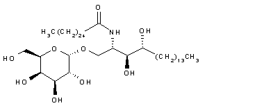
【药物名称】alpha-Galactosylceramide, AGL-582, KRN-7000
化学结构式(Chemical Structure):
参考文献No.20519
标题:Novel sphingoglycolipid and use thereof
作者:Higa, T.; Akimoto, K.; Koezuka, Y.; Sakai, T.; Morita, M.; Natori, T. (Kirin Brewery Co., Ltd.)
来源:EP 0609437; JP 1993508706; US 5936076; WO 9305055
合成路线图解说明:

The condensation of 3,4,6-O-tribenzyl-D-galactopyranose (I) with tridecyltriphenylphosphonium bromide (II) by treating first (I) with NaIO4 in aqueous ethanol, and then the resulting product with (II) and butyllithium in THF, gives the partially benzylated unsaturated tetraol (III), which is reduced with H2 over Pd/C in THF to the corresponding saturated compound (IV). The mesylation of (IV) with mesyl chloride and pyridine yields the mesylate (V), which by reaction with sodium azide in DMF is converted into the azido compound (VI). The reduction of (VI) with H2 over Pd/C in THF affords the corresponding amine (VII), which is acylated with hexacosanoic acid (VIII) by means of 2-chloro-1-methylpyridinium iodide (CMPI) in refluxing dichloromethane to give the amide (IX). The debenzylation of (IX) by hydrogenation with H2 over Pd/C in THF/propanol yields the trihydroxylated amide (X), which is selectively triphenylmethylated at the primary alcohol with trityl chloride and dimethylaminopyridine (DMAP) yielding the monotrityl derivative (XI). The subsequent protection of the secondary hydroxy groups with benzoyl chloride and DMAP affords the monotrityl dibenzoate derivative (XII), which is selectively deprotected with p-toluenesulfonic acid in methanol/water yielding the primary alcohol (XIII). The condensation of (XIII) with 2,3,4,6-O-tetrabenzyl-D-galactopyranosyl fluoride (XIV) by means of SnCl2 and AgClO4 in THF gives the fully protected final product (XV), which is first debenzylated by hydrogenation with H2 over Pd in ethyl acetate to the dibenzoate (XVI). Finally, this compound is debenzoylated by hydrolysis with sodium methoxide in methanol/THF.

参考文献No.314778
标题:Structure-activity relationship of alpha-galactosylceramides against B16-bearing mice
作者:Morita, M.; Motoki, K.; Akimoto, K.; Natori, T.; Sakai, T.; Sawa, E.; Yamaji, K.; Koezuka, Y.; Kobayashi, E.; Fukushima, H.
来源:J Med Chem 1995,38(12),2176-87
合成路线图解说明:

The condensation of 3,4,6-O-tribenzyl-D-galactopyranose (I) with tridecyltriphenylphosphonium bromide (II) by treating first (I) with NaIO4 in aqueous ethanol, and then the resulting product with (II) and butyllithium in THF, gives the partially benzylated unsaturated tetraol (III), which is reduced with H2 over Pd/C in THF to the corresponding saturated compound (IV). The mesylation of (IV) with mesyl chloride and pyridine yields the mesylate (V), which by reaction with sodium azide in DMF is converted into the azido compound (VI). The reduction of (VI) with H2 over Pd/C in THF affords the corresponding amine (VII), which is acylated with hexacosanoic acid (VIII) by means of 2-chloro-1-methylpyridinium iodide (CMPI) in refluxing dichloromethane to give the amide (IX). The debenzylation of (IX) by hydrogenation with H2 over Pd/C in THF/propanol yields the trihydroxylated amide (X), which is selectively triphenylmethylated at the primary alcohol with trityl chloride and dimethylaminopyridine (DMAP) yielding the monotrityl derivative (XI). The subsequent protection of the secondary hydroxy groups with benzoyl chloride and DMAP affords the monotrityl dibenzoate derivative (XII), which is selectively deprotected with p-toluenesulfonic acid in methanol/water yielding the primary alcohol (XIII). The condensation of (XIII) with 2,3,4,6-O-tetrabenzyl-D-galactopyranosyl fluoride (XIV) by means of SnCl2 and AgClO4 in THF gives the fully protected final product (XV), which is first debenzylated by hydrogenation with H2 over Pd in ethyl acetate to the dibenzoate (XVI). Finally, this compound is debenzoylated by hydrolysis with sodium methoxide in methanol/THF.

参考文献No.340113
标题:KRN-7000
作者:Hoshi, A.; Casta馿r, J.
来源:Drugs Fut 1996,21(2),152
合成路线图解说明:

The condensation of 3,4,6-O-tribenzyl-D-galactopyranose (I) with tridecyltriphenylphosphonium bromide (II) by treating first (I) with NaIO4 in aqueous ethanol, and then the resulting product with (II) and butyllithium in THF, gives the partially benzylated unsaturated tetraol (III), which is reduced with H2 over Pd/C in THF to the corresponding saturated compound (IV). The mesylation of (IV) with mesyl chloride and pyridine yields the mesylate (V), which by reaction with sodium azide in DMF is converted into the azido compound (VI). The reduction of (VI) with H2 over Pd/C in THF affords the corresponding amine (VII), which is acylated with hexacosanoic acid (VIII) by means of 2-chloro-1-methylpyridinium iodide (CMPI) in refluxing dichloromethane to give the amide (IX). The debenzylation of (IX) by hydrogenation with H2 over Pd/C in THF/propanol yields the trihydroxylated amide (X), which is selectively triphenylmethylated at the primary alcohol with trityl chloride and dimethylaminopyridine (DMAP) yielding the monotrityl derivative (XI). The subsequent protection of the secondary hydroxy groups with benzoyl chloride and DMAP affords the monotrityl dibenzoate derivative (XII), which is selectively deprotected with p-toluenesulfonic acid in methanol/water yielding the primary alcohol (XIII). The condensation of (XIII) with 2,3,4,6-O-tetrabenzyl-D-galactopyranosyl fluoride (XIV) by means of SnCl2 and AgClO4 in THF gives the fully protected final product (XV), which is first debenzylated by hydrogenation with H2 over Pd in ethyl acetate to the dibenzoate (XVI). Finally, this compound is debenzoylated by hydrolysis with sodium methoxide in methanol/THF.

参考文献No.352939
标题:Practical total synthesis of (2S,3S,4R)-1-O-(alpha-D-galactopyranosyl)-N-hexacosanoyl-2-amino-1,3,4-octadecanetriol, the antitumorial and immunostimulatory alpha-galactosylceramide, KRN-7000
作者:Morita, M.; Sawa, E.; Yamaji, K.; Sakai, T.; Natori, T.; Koezuka, Y.; Fukushima, H.; Akimoto, K.
来源:Biosci Biotech Biochem 1996,60(2),288
合成路线图解说明:

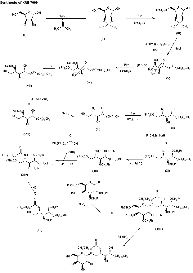
A practical total synthesis of KRN-7000 has been reported: The reaction of D-lyxofuranose (I) with acetone and sulfuric acid gives the acetonide (II), which is tritiated with trityl chloride and pyridine in dichloromethane to the protected lyxose (III). The condensation of (III) with triphenyltridecylphosphonium bromide (IV) by means of butyllithium in THF yields the alcohol (V) with the suitable (2R,3S,4R)-configuration. The mesylation of (V) with mesyl chloride and pyridine affords the mesylate (VI), which is treated with aqueous HCl in dichloromethane to obtain the unsaturated triol (VII). The hydrogenation of (VII) with H2 over Pd-BaSO4 in THF affords (2R,3R,4R)-2-(methanesulfonyloxy)octadecane-1,3,4-triol (VIII), which by reaction with sodium azide in hot DMF yields the corresponding azide (IX). The protection of the primary alcohol of (IX) with trityl chloride and pyridine affords the azide diol (X), which is treated with benzyl bromide and NaH in DMF to give the fully protected triol (XI). The reduction of the azido group of (XI) with H2 over Pd/C in propanol/methanol affords the amine (XII), which is acylated with hexacosanoic acid (XIII) and WSC-HCl yielding the corresponding amide (XIV). Elimination of the trityl group of (XIV) with HCl in methanol/dichloromethane gives the primary alcohol (XV), which is condensed with tetra-O-benzyl-beta-D-galactopyranosyl bromide (XVI) by means of tetrahexylammonium bromide in toluene/DMF yielding the fully benzylated KRN-7000 (XVII). Finally, this compound is debenzylated by a treatment with Pd(OH)2 on charcoal and 4-methylcyclohexene in ethanol.

Drug Information Express,Drug R&D,Chemical Database,Patent Search.
Copyright © 2006-2026 Drug Future. All rights reserved.Contact Us