【药物名称】Zosuquidar trihydrochloride, LY-335979, RS-33295-198
化学结构式(Chemical Structure):
参考文献No.25344
标题:10,11-Methanodibenzosuberane derivs. used as chemosensitizing agents
作者:Pfister, J.R.; Slate, D.L. (Syntex (USA) LLC)
来源:EP 0695293; EP 0866063; JP 1996509223; WO 9424107
合成路线图解说明:

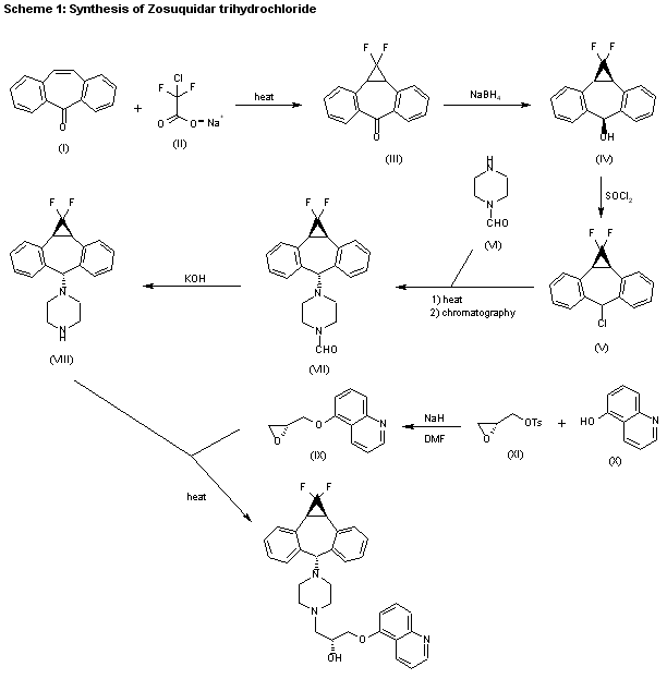
Condensation of dibenzosuberenone (I) with sodium 2-chloro-2,2-difluoroacetate (II) in diglyme at 165 C gives 10,11-(difluoromethano)benzosuberone (III), which is reduced with NaBH4 in THF/methanol to yield the corresponding syn-alcohol (IV). Reaction of alcohol (IV) with hot SOCl2 affords a mixture of the syn- and anti-chloro derivatives (V). This mixture (V) is treated with 1-for-mylpiperazine (VI) in refluxing acetonitrile to provide a mixture of syn- and anti-4-[10,11-(difluoromethano)dibenzosuber-5-yl]piperazine-1-carbaldehyde (VI), which is separated by chromatography. The desired anti-isomer (VII) is then treated with KOH in refluxing ethanol/water to give the piperazine derivative (VIII), which is finally condensed with 5-[2(R),3-epoxypropoxy]quinoline (IX) in refluxing isopranol. 5-[2(R),3-Epoxypropoxy]quinoline (IX) is obtained by reaction of 5-hydroxyquinoline (X) with (R)-glycidyl tosylate (XI) by means of NaH in DMF.

参考文献No.56595
标题:Process for preparing 10,11-methanobenzosuberane derivs.
作者:Le Tourneau, M.E.; Wilson, T.M.; Huff, B.E.; Bush, J.K.; Reutzel-Edens, S.M. (Eli Lilly and Company)
来源:WO 0075121
合成路线图解说明:

Reaction of alcohol (IV) with 48% HBr or with PBr3 affords the anti-bromo derivative (XII), which is condensed with pyrazine (XIII) in refluxing acetonitrile to give anti-1-[10,11-(difluoromethano)dibenzosuber-5-yl]pyrazinium bromide (XIV). Reduction of compound (XIV) with NaBH4 in ethyl acetate provides the piperazine derivative (VIII), which is finally condensed with 5-[2(R),3-epoxypropoxy]quinoline (IX) ?obtained by reaction of 5-hydroxyquinoline (X) with (R)-glycidyl 4-nitrobenzene- sulfonate (XV) by means of K2CO3 in DMF ?in hot ethanol.

参考文献No.56596
标题:Process for preparing a 10,11-methanodibenzosuberane deriv.
作者:Barnett, C.J.; Wilson, T.M.; Astleford, B.A.; Kobierski, M.E. (Eli Lilly and Company)
来源:WO 0075132
合成路线图解说明:

Condensation of the anti-bromo derivative (XII) with piperazine (XVI) in refluxing acetonitrile provides 1-[10,11-(difluoromethano)dibenzosuber-5-yl]piperazine as a mixture of syn- and anti-isomers (XVII), which is separated by crystallization. Finally, the desired anti-isomer (VIII) is condensed with 5-[2(R),3-epoxypropoxy]quinoline (IX) in hot ethanol.

参考文献No.331399
标题:Methanodibenzosuberylpiperazines as potent multidrug resistance reversal agents
作者:Bruno, N.A.; Nelson, J.T.; Wu, H.; Muehldorf, A.V.; Makra, F.; Cheung, P.; Slate, D.L.; Zutshi, N.; Casey, S.M.; Pfister, J.R.
来源:Bioorg Med Chem Lett 1995,5(21),2473
合成路线图解说明:

Condensation of dibenzosuberenone (I) with sodium 2-chloro-2,2-difluoroacetate (II) in diglyme at 165 C gives 10,11-(difluoromethano)benzosuberone (III), which is reduced with NaBH4 in THF/methanol to yield the corresponding syn-alcohol (IV). Reaction of alcohol (IV) with hot SOCl2 affords a mixture of the syn- and anti-chloro derivatives (V). This mixture (V) is treated with 1-for-mylpiperazine (VI) in refluxing acetonitrile to provide a mixture of syn- and anti-4-[10,11-(difluoromethano)dibenzosuber-5-yl]piperazine-1-carbaldehyde (VI), which is separated by chromatography. The desired anti-isomer (VII) is then treated with KOH in refluxing ethanol/water to give the piperazine derivative (VIII), which is finally condensed with 5-[2(R),3-epoxypropoxy]quinoline (IX) in refluxing isopranol. 5-[2(R),3-Epoxypropoxy]quinoline (IX) is obtained by reaction of 5-hydroxyquinoline (X) with (R)-glycidyl tosylate (XI) by means of NaH in DMF.

参考文献No.719469
标题:Zosuquidar Trihydrochloride.
作者:Sorbera, L.A.; Casta馿r, J.; Silvestre, J.S.; Bay閟, M.
来源:Drugs Fut 2003,28(2),125-136
合成路线图解说明:

Condensation of dibenzosuberenone (I) with sodium 2-chloro-2,2-difluoroacetate (II) in diglyme at 165 C gives 10,11-(difluoromethano)benzosuberone (III), which is reduced with NaBH4 in THF/methanol to yield the corresponding syn-alcohol (IV). Reaction of alcohol (IV) with hot SOCl2 affords a mixture of the syn- and anti-chloro derivatives (V). This mixture (V) is treated with 1-for-mylpiperazine (VI) in refluxing acetonitrile to provide a mixture of syn- and anti-4-[10,11-(difluoromethano)dibenzosuber-5-yl]piperazine-1-carbaldehyde (VI), which is separated by chromatography. The desired anti-isomer (VII) is then treated with KOH in refluxing ethanol/water to give the piperazine derivative (VIII), which is finally condensed with 5-[2(R),3-epoxypropoxy]quinoline (IX) in refluxing isopranol. 5-[2(R),3-Epoxypropoxy]quinoline (IX) is obtained by reaction of 5-hydroxyquinoline (X) with (R)-glycidyl tosylate (XI) by means of NaH in DMF.

合成路线图解说明:

Reaction of alcohol (IV) with 48% HBr or with PBr3 affords the anti-bromo derivative (XII), which is condensed with pyrazine (XIII) in refluxing acetonitrile to give anti-1-[10,11-(difluoromethano)dibenzosuber-5-yl]pyrazinium bromide (XIV). Reduction of compound (XIV) with NaBH4 in ethyl acetate provides the piperazine derivative (VIII), which is finally condensed with 5-[2(R),3-epoxypropoxy]quinoline (IX) ?obtained by reaction of 5-hydroxyquinoline (X) with (R)-glycidyl 4-nitrobenzene- sulfonate (XV) by means of K2CO3 in DMF ?in hot ethanol.

合成路线图解说明:

Condensation of the anti-bromo derivative (XII) with piperazine (XVI) in refluxing acetonitrile provides 1-[10,11-(difluoromethano)dibenzosuber-5-yl]piperazine as a mixture of syn- and anti-isomers (XVII), which is separated by crystallization. Finally, the desired anti-isomer (VIII) is condensed with 5-[2(R),3-epoxypropoxy]quinoline (IX) in hot ethanol.

参考文献No.719484
标题:Synthesis and cardioselective beta-adrenergic antagonist activity of quinolyloxypropanolamines
作者:Vo, D.; Wolowyk, M.W.; Knaus, E.E.
来源:Drug Des Discov 1992,9(1),69
合成路线图解说明:

Condensation of dibenzosuberenone (I) with sodium 2-chloro-2,2-difluoroacetate (II) in diglyme at 165 C gives 10,11-(difluoromethano)benzosuberone (III), which is reduced with NaBH4 in THF/methanol to yield the corresponding syn-alcohol (IV). Reaction of alcohol (IV) with hot SOCl2 affords a mixture of the syn- and anti-chloro derivatives (V). This mixture (V) is treated with 1-for-mylpiperazine (VI) in refluxing acetonitrile to provide a mixture of syn- and anti-4-[10,11-(difluoromethano)dibenzosuber-5-yl]piperazine-1-carbaldehyde (VI), which is separated by chromatography. The desired anti-isomer (VII) is then treated with KOH in refluxing ethanol/water to give the piperazine derivative (VIII), which is finally condensed with 5-[2(R),3-epoxypropoxy]quinoline (IX) in refluxing isopranol. 5-[2(R),3-Epoxypropoxy]quinoline (IX) is obtained by reaction of 5-hydroxyquinoline (X) with (R)-glycidyl tosylate (XI) by means of NaH in DMF.

Drug Information Express,Drug R&D,Chemical Database,Patent Search.
Copyright © 2006-2026 Drug Future. All rights reserved.Contact Us