【药物名称】SY-726, SSY-726
化学结构式(Chemical Structure):
参考文献No.15402
标题:Triazole derivs.
作者:Tokizawa, M.; Kanamaru, Y.; Matsumoto, M.; Asaoka, T.; Matsuda, H.; Kuraishi, T.; Maebashi, K.; Taido, N.; Kawahara, R. (SSP Co., Ltd.)
来源:EP 0435081; JP 1991223266; US 5147886
合成路线图解说明:

The intermediate 2-(methylsulfanyl)-4'-(trifluoromethyl)isobutyrophenone (IV) was prepared by two alternative procedures. Reaction of bromo ketone (I) with sodium methanethiolate provided sulfide (II). Subsequent two step dimethylation of acetophenone (II) with CH3I and NaI gave rise to the isobutyrophenone (IV), through the intermediate propiophenone (III).

合成路线图解说明:

In a different approach, addition of isopropylmagnesium bromide to 4-(trifluoromethyl)benzaldehyde (V) afforded alcohol (VI), which was further oxidized to the corresponding ketone (VII) by treatment with pyridinium chlorochromate. Bromination of 4'-(trifluoromethyl)isobutyrophenone (VII) in HOAc provided bromo ketone (VIII). Sulfide (IV) was then obtained by displacement of the bromide group of (VIII) with sodium methanethiolate.

合成路线图解说明:

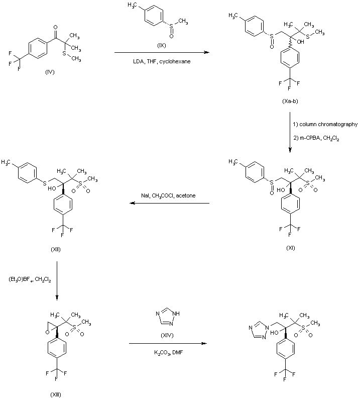
Condensation of isobutyrophenone (IV) with the lithium derivative of (S)-methyl p-tolyl sulfoxide (IX) produced alcohol (X) as a diastereomeric mixture. After chromatographic separation of the desired diastereoisomer, the methylsulfanyl group was selectively oxidized to sulfone (XI) with m-chloroperbenzoic acid. Reduction of the tolyl sulfoxide moiety of (XI) by means of NaI in the presence of acetyl chloride led to the corresponding sulfide (XII). Cyclization of the hydroxy sulfide (XII) to epoxide (XIII) was accomplished via S-alkylation with triethyloxonium tetrafluoroborate. Finally, opening of the chiral epoxide (XIII) with triazole (XIV) in the presence of K2CO3 furnished the title compound.

Drug Information Express,Drug R&D,Chemical Database,Patent Search.
Copyright © 2006-2026 Drug Future. All rights reserved.Contact Us