【药物名称】KP-103
化学结构式(Chemical Structure):
参考文献No.561026
标题:Synthesis and antifungal activities of (2R,3R)-2-aryl-1-azolyl-3-(substituted amino)-2-butanol derivatives as topical antifungal agents
作者:Ogura, H.; Kobayashi, H.; Nagai, K.; Nishida, T.; Naito, T.; Tatsumi, Y.; Yokoo, M.; Arika, T.
来源:Chem Pharm Bull 1999,47(10),1417
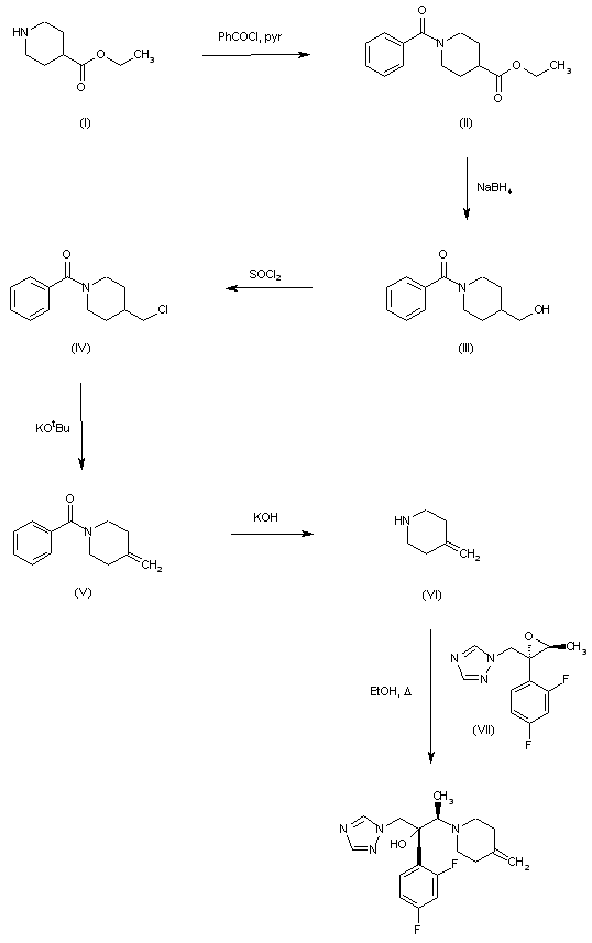
合成路线图解说明:

Condensation of ethyl 4-piperidinecarboxylate (I) with benzoyl chloride in pyridine afforded the corresponding benzamide (II). After reduction of the ester group of (II) with NaBH4, the resulting alcohol (III) was converted to chloride (IV) by means of SOCl2. Elimination of the chlorine atom of (IV) with potassium tert-butoxide produced N-benzoyl-4-methylenepiperidine (V), which was hydrolyzed with KOH to yield 4-methylenepiperidine (VI). Finally, condensation of (VI) with the known epoxide (VII) in refluxing EtOH furnished the title compound.

Drug Information Express,Drug R&D,Chemical Database,Patent Search.
Copyright © 2006-2026 Drug Future. All rights reserved.Contact Us