【药物名称】PNU-96391, (S)-(-)-OSU-6162
化学结构式(Chemical Structure):
参考文献No.19504
标题:New centrally acting substd. phenylazacycloalkanes
作者:Svensson, K.A.I.; Wikstr鰉, H.V.; Carlsson, P.A.E.; Boije, A.M.P.; Waters, R.N.; Sonesson, C.A.; Stjerulof, N.P.; Andersson, B.R. (Pharmacia Corp.)
来源:EP 0641320; JP 1994509561; US 5462947; WO 9218475
合成路线图解说明:

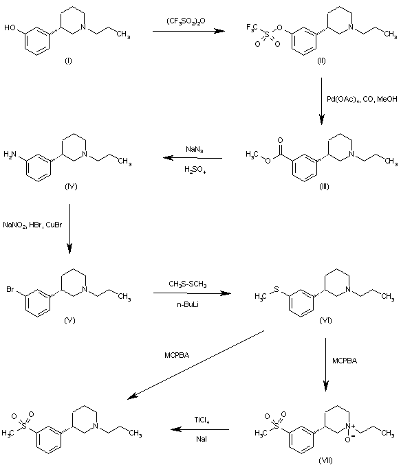
The reaction of 3-(1-propylpiperidin-3(S)-yl)phenol (I) with trifluoromethanesulfonic anhydride gives the triflate (II), which is treated with Pd(OAc)4, CO and MeOH, yielding 3-(1-propylpiperidin-3(S)-yl)benzoic acid methyl ester (III). The reaction of (III) with sodium azide and H2SO4 affords the aniline (IV), which by reaction with NaNO2, HBr and CuBr provides 3(S)-(3-bromophenyl)-1-propylpiperidine (V). The reaction of (V) with dimethyl disulfide and n-BuLi gives the thioether (VI), which is oxidized with MCPBA to afford the target sulfone, which is easily separated from the N-oxide (VII) also formed in the oxidation process. The N-oxide (VII) can be reduced to the target compound by means of TiCl4 and NaI in acetonitrile.

参考文献No.309328
标题:An efficient synthesis of the novel dopamine autoreceptor antagonist S-(-)-OSU6162, via Palladium catalyzed cross-coupling reaction
作者:Sonesson, C.; Lindborg, J.
来源:Tetrahedron Lett 1994,35(48),9063
合成路线图解说明:

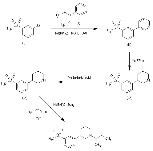
The condensation of 3-(methylsulfonyl)bromobenzene (I) with diethyl(3-pyridyl)borane (II) by means of Pd(PPh3)4, KOH and tetrabutylammonium iodide (TBAI) gives 3-[3-(methylsulfonyl)phenyl]pyridine (III), which is hydrogenated with H2 over PtO2 in methanol, yielding the racemic piperidine (IV). The optical resolution of (IV) with (+)-tartaric acid affords the (S)-enantiomer (V), which is alkylated by reductocondensation with propionic aldehyde and NaBH(O-tBu)3 in dichloroethane and HOAc.

参考文献No.309329
标题:Substituted (S)-phenylpiperidines and rigid congeners as preferential dopamine autoreceptor antagonists: Synthesis and structure-activity relationships
作者:Sonesson, C.; Lin, C.H.; Hansson, L.; Waters, N.; Svensson, K.; Carlsson, A.; Smith, M.W.; Wikstrom, H.
来源:J Med Chem 1994,37(17),2735
合成路线图解说明:

The reaction of 3-(1-propylpiperidin-3(S)-yl)phenol (I) with trifluoromethanesulfonic anhydride gives the triflate (II), which is treated with Pd(OAc)4, CO and MeOH, yielding 3-(1-propylpiperidin-3(S)-yl)benzoic acid methyl ester (III). The reaction of (III) with sodium azide and H2SO4 affords the aniline (IV), which by reaction with NaNO2, HBr and CuBr provides 3(S)-(3-bromophenyl)-1-propylpiperidine (V). The reaction of (V) with dimethyl disulfide and n-BuLi gives the thioether (VI), which is oxidized with MCPBA to afford the target sulfone, which is easily separated from the N-oxide (VII) also formed in the oxidation process. The N-oxide (VII) can be reduced to the target compound by means of TiCl4 and NaI in acetonitrile.

参考文献No.583033
标题:Improved synthesis of stable isotope labeled and carbon-14 labeled (S)-(-)-3-[3-(methylsulfonyl)phenyl]-1-propylpiperidine hydrochloride; (-)-OSU-6162
作者:Chaudhary, A.G.; McGrath, J.P.
来源:J Label Compd Radiopharm 2000,43(7),683
合成路线图解说明:

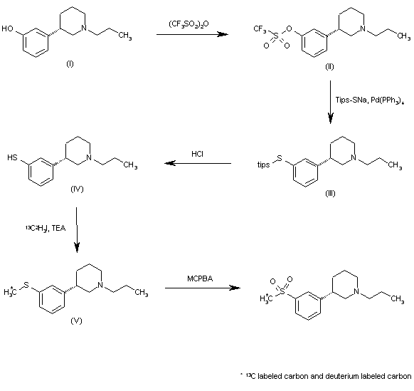
The reaction of 3-(1-propylpiperidin-3(S)-yl)phenol (I) with trifluoromethanesulfonic anhydride gives the triflate (II), which is treated with triisopropylsilylthiol sodium salt and Pd(PPh3)4 to yield the sill sulfanyl compound (III). The desilylation of (III) with HCl in methanol affords the thiophenol (IV), which is methylated with 13C- and 2H-labeled methyl iodide and TEA in dichloromethane, providing the methylsulfanyl derivative (V). Finally, this compound is oxidized to the target sulfone with MCPBA and trifluoroacetic acid.

合成路线图解说明:

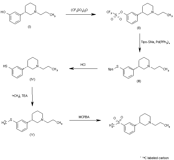
The reaction of 3-(1-propylpiperidin-3(S)-yl)phenol (I) with trifluoromethanesulfonic anhydride gives the triflate (II), which is treated with triisopropylsilylthiol sodium salt and Pd(PPh3)4 to yield the sill sulfanyl compound (III). The desilylation of (III) with HCl in methanol affords the thiophenol (IV), which is methylated with 14C-labeled methyl iodide and TEA in dichloromethane, providing the methylsulfanyl derivative (V). Finally, this compound is oxidized to the target sulfone with MCPBA and trifluoroacetic acid.

Drug Information Express,Drug R&D,Chemical Database,Patent Search.
Copyright © 2006-2026 Drug Future. All rights reserved.Contact Us