【药物名称】SR-10204
化学结构式(Chemical Structure):
参考文献No.26237
标题:Novel benzothiophene analogs as antiviral agents
作者:Reist, E.J. (SRI International)
来源:EP 0712404; JP 1997500386; US 5424315; WO 9504059
合成路线图解说明:

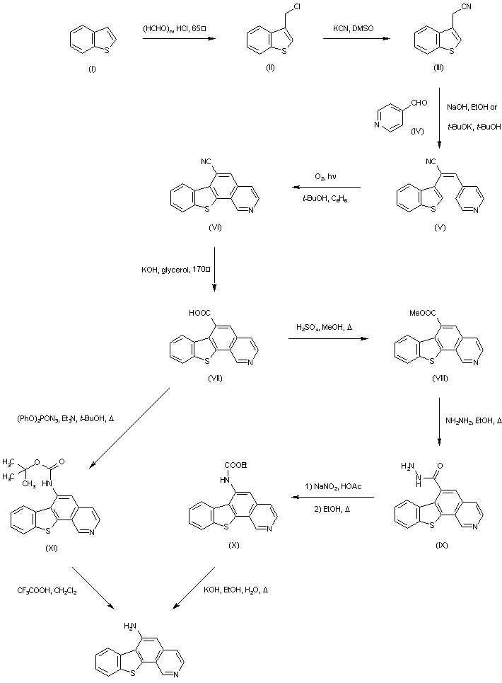
3-(Chloromethyl)benzothiophene (II) was prepared by condensation of benzothiophene (I) with paraformaldehyde in the presence of HCl. Subsequent treatment of (II) with KCN produced nitrile (III). This was condensed with pyridine-4-carboxaldehyde (IV) to yield adduct (V). Oxidative photochemical cyclization of (V) furnished the benzothienoisoquinoline tetracyclic system (VI). Hydrolysis of the nitrile group of (VI) to carboxylic acid (VII) was achieved by treatment with KOH in hot glycerol. After conversion of (VII) to methyl ester (VIII), displacement by hydrazine gave rise to hydrazide (IX). Nitrosation of (IX), followed by rearrangement of the resulting acyl azide produced an intermediate isocyanate, that was further converted to ethyl carbamate (X) in boiling EtOH. Alternatively, Curtius rearrangement of carboxylic acid (VII) upon treatment with diphenylphosphoryl azide, and further reaction with tert-butanol furnished tert-butyl carbamate (XI). The title amine was then obtained by either hydrolysis of ethyl carbamate (X) with KOH or by trifluoroacetic acid promoted cleavage of carbamate (XI).

合成路线图解说明:

3-(Chloromethyl)benzothiophene (II) was prepared by condensation of benzothiophene (I) with paraformaldehyde in the presence of HCl. Subsequent treatment of (II) with KCN produced nitrile (III). This was condensed with pyridine-4-carboxaldehyde (IV) to yield adduct (V). Oxidative photochemical cyclization of (V) furnished the benzothienoisoquinoline tetracyclic system (VI). Hydrolysis of the nitrile grroup of (VI) to carboxylic acid (VII) was achieved by treatment with KOH in hot glycerol. After conversion of (VII) to methyl ester (VIII), displacement by hydrazine gave rise to hydrazide (IX). Nitrosation of (IX), followed by rearrangement of the resulting acyl azide produced an intermediate isocyanate, that was further converted to ethyl carbamate (X) in boiling EtOH. Alternatively, Curtius rearrangement of carboxylic acid (VII) upon treatment with diphenylphosphoryl azide, and further reaction with tert-butanol furnished tert-butyl carbamate (XI). Amine (XII) was obtained by either hydrolysis of ethyl carbamate (X) with KOH or by trifluoroacetic acid promoted cleavage of carbamate (XI). Finally, acylation of (XII) with trifluoroacetic anhydride furnished the title trifluoroacetamide.

参考文献No.572964
标题:Benzthieno[3,2-h]isoquinolines as novel nonnucleoside inhibitors of human cytomegalovirus
作者:Smee, D.F.; Zaveri, N.; Sidwell, R.W.; Reist, E.; Huffman, J.H.; Bradford, W.W.
来源:219th ACS Natl Meet (March 26 2000, San Francisco) 2000,Abst MEDI 130
合成路线图解说明:

3-(Chloromethyl)benzothiophene (II) was prepared by condensation of benzothiophene (I) with paraformaldehyde in the presence of HCl. Subsequent treatment of (II) with KCN produced nitrile (III). This was condensed with pyridine-4-carboxaldehyde (IV) to yield adduct (V). Oxidative photochemical cyclization of (V) furnished the benzothienoisoquinoline tetracyclic system (VI). Hydrolysis of the nitrile group of (VI) to carboxylic acid (VII) was achieved by treatment with KOH in hot glycerol. After conversion of (VII) to methyl ester (VIII), displacement by hydrazine gave rise to hydrazide (IX). Nitrosation of (IX), followed by rearrangement of the resulting acyl azide produced an intermediate isocyanate, that was further converted to ethyl carbamate (X) in boiling EtOH. Alternatively, Curtius rearrangement of carboxylic acid (VII) upon treatment with diphenylphosphoryl azide, and further reaction with tert-butanol furnished tert-butyl carbamate (XI). The title amine was then obtained by either hydrolysis of ethyl carbamate (X) with KOH or by trifluoroacetic acid promoted cleavage of carbamate (XI).

合成路线图解说明:

3-(Chloromethyl)benzothiophene (II) was prepared by condensation of benzothiophene (I) with paraformaldehyde in the presence of HCl. Subsequent treatment of (II) with KCN produced nitrile (III). This was condensed with pyridine-4-carboxaldehyde (IV) to yield adduct (V). Oxidative photochemical cyclization of (V) furnished the benzothienoisoquinoline tetracyclic system (VI). Hydrolysis of the nitrile grroup of (VI) to carboxylic acid (VII) was achieved by treatment with KOH in hot glycerol. After conversion of (VII) to methyl ester (VIII), displacement by hydrazine gave rise to hydrazide (IX). Nitrosation of (IX), followed by rearrangement of the resulting acyl azide produced an intermediate isocyanate, that was further converted to ethyl carbamate (X) in boiling EtOH. Alternatively, Curtius rearrangement of carboxylic acid (VII) upon treatment with diphenylphosphoryl azide, and further reaction with tert-butanol furnished tert-butyl carbamate (XI). Amine (XII) was obtained by either hydrolysis of ethyl carbamate (X) with KOH or by trifluoroacetic acid promoted cleavage of carbamate (XI). Finally, acylation of (XII) with trifluoroacetic anhydride furnished the title trifluoroacetamide.

Drug Information Express,Drug R&D,Chemical Database,Patent Search.
Copyright © 2006-2026 Drug Future. All rights reserved.Contact Us