【药物名称】AGY-94806, Msc1, SA-4503
化学结构式(Chemical Structure):
参考文献No.26230
标题:Novel 1,4-di(phenylalkyl)piperazine deriv.
作者:Kawashima, Y.; Matsumoto, J.; Matsuno, K.; Senda, T.; Hirano, K. (Santen Pharmaceutical Co., Ltd.)
来源:EP 0711763; JP 1995089949; US 5736546; WO 9504050
合成路线图解说明:

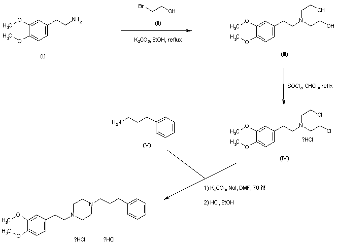
The alkylation of 2-(3,4-dimethoxyphenyl)ethylamine (I) with 2-bromoethanol (II) provides the bis(hydroxyethyl) amine (III). Subsequent chlorination of diol (III) with SOCl2 affords the corresponding bis(chloroethyl) amine (IV). This is finally cyclized with 3-phenylpropylamine (V) to furnish the title piperazine derivative, which is isolated as the dihydrochloride salt.

Drug Information Express,Drug R&D,Chemical Database,Patent Search.
Copyright © 2006-2026 Drug Future. All rights reserved.Contact Us