【药物名称】MR-18445
化学结构式(Chemical Structure):
参考文献No.25433
标题:Pyrrolopyrazine derivs. with 5-HT3 activity
作者:Rault, S.; Lancelot, J.-C.; Prunier, H.; Robba, M.; Delagrange, P.; Renard, P.; Adam, G. (ADIR et Cie.)
来源:CA 2122890; EP 0623620; FR 2704547; JP 1994340666; US 5599812
合成路线图解说明:

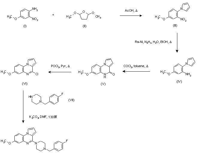
Phenyl pyrrole (III) was prepared by Clauson-Kaas reaction of 4-methoxy-2-nitroaniline (I) with 2,5-dimethoxytetrahydrofuran (II). Subsequent reduction of the nitro group of (III) using hydrazine and Raney Nickel provided aniline (IV), which was cyclized with phosgene in refluxing toluene to furnish the pyrroloquinoxaline (V). This was chlorinated with POCl3 to obtain the chloroquinoxaline (VI). Finally, nucleophilic substitution in (VI) with N-(4-fluorobenzyl)piperazine (VII) yielded the title compound.

合成路线图解说明:

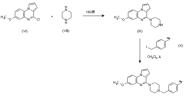
A synthesis for the 18F-labeled compound has also been reported. The piperazinylquinoxaline (IX) was obtained from chloroquinoxaline (VI) and excess piperazine (VIII) at 160 C. This was then alkylated with 4-[18F]fluorobenzyl iodide (X) in refluxing CH2Cl2 to provide the labeled product.

参考文献No.523004
标题:Synthesis of [18F]MR 18445 and its in vivo evaluat
作者:Katounina, T.; et al.
来源:J Label Compd Radiopharm 1997,40542
合成路线图解说明:

Phenyl pyrrole (III) was prepared by Clauson-Kaas reaction of 4-methoxy-2-nitroaniline (I) with 2,5-dimethoxytetrahydrofuran (II). Subsequent reduction of the nitro group of (III) using hydrazine and Raney Nickel provided aniline (IV), which was cyclized with phosgene in refluxing toluene to furnish the pyrroloquinoxaline (V). This was chlorinated with POCl3 to obtain the chloroquinoxaline (VI). Finally, nucleophilic substitution in (VI) with N-(4-fluorobenzyl)piperazine (VII) yielded the title compound.

合成路线图解说明:

A synthesis for the 18F-labeled compound has also been reported. The piperazinylquinoxaline (IX) was obtained from chloroquinoxaline (VI) and excess piperazine (VIII) at 160 C. This was then alkylated with 4-[18F]fluorobenzyl iodide (X) in refluxing CH2Cl2 to provide the labeled product.

参考文献No.523005
标题:Novel and selective partial agonists of 5-HT3 rece
作者:Prunier, H.; Rault, S.; Lancelot, J.-C.; Robba, M.; Renard, P.; Delagrange, P.; Pfeiffer, B.; Caignard, D.H.; Misslin, R.; Guardiola-Lemaitre, B.; Hamon, M.
来源:J Med Chem 1997,40(12),1808
合成路线图解说明:

Phenyl pyrrole (III) was prepared by Clauson-Kaas reaction of 4-methoxy-2-nitroaniline (I) with 2,5-dimethoxytetrahydrofuran (II). Subsequent reduction of the nitro group of (III) using hydrazine and Raney Nickel provided aniline (IV), which was cyclized with phosgene in refluxing toluene to furnish the pyrroloquinoxaline (V). This was chlorinated with POCl3 to obtain the chloroquinoxaline (VI). Finally, nucleophilic substitution in (VI) with N-(4-fluorobenzyl)piperazine (VII) yielded the title compound.

合成路线图解说明:

A synthesis for the 18F-labeled compound has also been reported. The piperazinylquinoxaline (IX) was obtained from chloroquinoxaline (VI) and excess piperazine (VIII) at 160 C. This was then alkylated with 4-[18F]fluorobenzyl iodide (X) in refluxing CH2Cl2 to provide the labeled product.

参考文献No.523009
标题:Synthesis and biological investigations of [18F]MR
作者:Katounina, T.; Besret, L.; Dhilly, M.; Petit-Taboue, M.C.; Barbelivien, A.; Baron, J.C.; Dauphin, F.; Barre, L.
来源:Bioorg Med Chem 1998,6(6),789
合成路线图解说明:

Phenyl pyrrole (III) was prepared by Clauson-Kaas reaction of 4-methoxy-2-nitroaniline (I) with 2,5-dimethoxytetrahydrofuran (II). Subsequent reduction of the nitro group of (III) using hydrazine and Raney Nickel provided aniline (IV), which was cyclized with phosgene in refluxing toluene to furnish the pyrroloquinoxaline (V). This was chlorinated with POCl3 to obtain the chloroquinoxaline (VI). Finally, nucleophilic substitution in (VI) with N-(4-fluorobenzyl)piperazine (VII) yielded the title compound.

合成路线图解说明:

A synthesis for the 18F-labeled compound has also been reported. The piperazinylquinoxaline (IX) was obtained from chloroquinoxaline (VI) and excess piperazine (VIII) at 160 C. This was then alkylated with 4-[18F]fluorobenzyl iodide (X) in refluxing CH2Cl2 to provide the labeled product.

Drug Information Express,Drug R&D,Chemical Database,Patent Search.
Copyright © 2006-2026 Drug Future. All rights reserved.Contact Us