【药物名称】GCC-AP0341
化学结构式(Chemical Structure):
参考文献No.26051
标题:Triazole derivs. and pharmaceutical use thereof
作者:Akahoshi, F.; Okada, T.; Takeda, S.; Naito, Y.; Fukaya, C.; Kuwahara, S.; Kajii, M.; Nishimura, H.; Sugiura, M. (Welfide Corporation)
来源:EP 0710654; JP 1995082270; JP 1995097321; JP 1995101942; US 5750545; WO 9503286
合成路线图解说明:

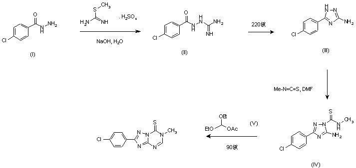
The reaction of 4-chlorobenzoylhydrazide (I) with S-methyl isothiourea sulfate in aqueous NaOH gave guanidine (II) which, on heating at 220 C, was converted into aminotriazole (III). Subsequent condensation with methyl isothiocyanate in DMF gave thiocarbonyl triazole (IV). Finally, cyclization with diethoxymethyl acetate at 90 C provided the target triazolotriazine.

参考文献No.376792
标题:Synthesis and pharmacological activity of triazole derivatives inhibiting eosinophilia
作者:Naito, Y.; Akahoshi, F.; Takeda, S.; Okada, T.; Kajii, M.; Nishimura, H.; Sugiura, M.; Fukaya, C.; Kagitani, Y.
来源:J Med Chem 1996,39(15),3019-3029
合成路线图解说明:

The reaction of 4-chlorobenzoylhydrazide (I) with S-methyl isothiourea sulfate in aqueous NaOH gave guanidine (II) which, on heating at 220 C, was converted into aminotriazole (III). Subsequent condensation with methyl isothiocyanate in DMF gave thiocarbonyl triazole (IV). Finally, cyclization with diethoxymethyl acetate at 90 C provided the target triazolotriazine.

参考文献No.468658
标题:Synthesis and pharmacological activity of triazolo[1,5-a]triazine derivatives inhibiting eosinophilia
作者:Akahoshi, F.; Takeda, S.; Okada, T.; Kajii, M.; Nishimura, H.; Sugiura, M.; Inoue, Y.; Fukaya, C.; Naito, Y.; Imagawa, T.; Nakamura, N.
来源:J Med Chem 1998,41(16),2985-2993
合成路线图解说明:

The reaction of 4-chlorobenzoylhydrazide (I) with S-methyl isothiourea sulfate in aqueous NaOH gave guanidine (II) which, on heating at 220 C, was converted into aminotriazole (III). Subsequent condensation with methyl isothiocyanate in DMF gave thiocarbonyl triazole (IV). Finally, cyclization with diethoxymethyl acetate at 90 C provided the target triazolotriazine.

Drug Information Express,Drug R&D,Chemical Database,Patent Search.
Copyright © 2006-2026 Drug Future. All rights reserved.Contact Us