【药物名称】Canfosfamide hydrochloride, TLK-286, TER-286, Telcyta
化学结构式(Chemical Structure):
参考文献No.34144
标题:Glutathione S-transferase-activated cpds.
作者:Kauvar, L.; Lyttle, M.H.; Satyam, A. (Telik, Inc.)
来源:WO 9509866
合成路线图解说明:

The intermediate N,N,N',N'-tetrakis(2-chloroethyl)phosphorodiamidate (IV) was prepared by an improved procedure consisting of addition of phosphoryl chloride to 2-bromoethanol (I) in the presence of Et3N, followed by in situ treatment of the resulting intermediate (II) with bis(2-chloroethyl)amine (III).

合成路线图解说明:

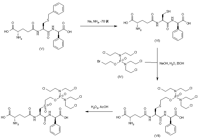
The known gamma-glutamyl-(S-benzylcysteinyl)-(R)-(-)-phenylglycine (V) was debenzylated to the corresponding thiol (VI) by means of sodium in liquid ammonia. Subsequent S-alkylation of (VI) with bromide (III) produced thioether (VII), which was finally oxidized to the title sulfone employing peracetic acid.

参考文献No.424668
标题:Glutathione-S-transferase activates novel alkylating agents
作者:Lyttle, M.H.; Satyam, A.; Hocker, M.D.; Bauer, K.E.; Caldwell, C.G.; Hui, H.C.; Morgan, A.S.; Mergia, A.; Kauvar, L.M.
来源:J Med Chem 1994,37(10),1501
合成路线图解说明:

The intermediate N,N,N',N'-tetrakis(2-chloroethyl)phosphorodiamidate (IV) was prepared by an improved procedure consisting of addition of phosphoryl chloride to 2-bromoethanol (I) in the presence of Et3N, followed by in situ treatment of the resulting intermediate (II) with bis(2-chloroethyl)amine (III).

合成路线图解说明:

The known gamma-glutamyl-(S-benzylcysteinyl)-(R)-(-)-phenylglycine (V) was debenzylated to the corresponding thiol (VI) by means of sodium in liquid ammonia. Subsequent S-alkylation of (VI) with bromide (III) produced thioether (VII), which was finally oxidized to the title sulfone employing peracetic acid.

Drug Information Express,Drug R&D,Chemical Database,Patent Search.
Copyright © 2006-2026 Drug Future. All rights reserved.Contact Us