【药物名称】CFT, Win-35428
化学结构式(Chemical Structure):
参考文献No.312116
标题:WIN-35,428
作者:Casta馿r, J.; Hillier, K.
来源:Drugs Fut 1980,5(9),459
合成路线图解说明:

By condensation of (-)-anhydroecgonine methyl ester (I) with 4-fluorophenylmagnesium bromide (II) by means of cuprous chloride in refluxing ether.

参考文献No.607780
标题:Compounds affecting the central nervous system. 4. 3beta-Phenyltropane-2-carboxylic esters and analogs
作者:Clarke, R.L.; Daum, S.J.; Gambino, A.J.; Aceto, M.D.; Pearl, J.; Levitt, M.; Cumiskey, W.R.; Bogado, E.F.
来源:J Med Chem 1973,16(1),1260-67
合成路线图解说明:

By condensation of (-)-anhydroecgonine methyl ester (I) with 4-fluorophenylmagnesium bromide (II) by means of cuprous chloride in refluxing ether.

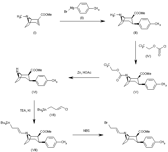
合成路线图解说明:

The reaction of anhydroecgonine methyl ester (I) with 4-methylphenylmagnesium bromide (II) in ethyl ether gives 3beta-(4-methylphenyl)tropane-2beta-carboxylic acid methyl ester (III), which is demethylated by reaction with 2,2,2-trichloroethyl chloroformate (IV) yielding the carbamate (V), followed by reduction with Zn/AcOH to afford the nortropane derivative (VI). The alkylation of (VI) with the tributylstannane (VII), TEA and iodine in ethanol provides the adduct (VIII), which is finally brominated with NBS in THF.

参考文献No.701426
标题:
作者:Clarke, R.L.; Daum, S.J.
来源:US 3813404
合成路线图解说明:

By condensation of (-)-anhydroecgonine methyl ester (I) with 4-fluorophenylmagnesium bromide (II) by means of cuprous chloride in refluxing ether.

Drug Information Express,Drug R&D,Chemical Database,Patent Search.
Copyright © 2006-2026 Drug Future. All rights reserved.Contact Us