【药物名称】AZD-4407, ZD-4407
化学结构式(Chemical Structure):
参考文献No.562887
标题:Use of titanium thienyl anion and a simple procedure for introducing a thiol group into thiophene in the development of a manufacturing route to the 5-lipoxygenase inhibitor ZD4407
作者:Hutton, J.; et al.
来源:Org Process Res Dev 1997,1(1),61
合成路线图解说明:

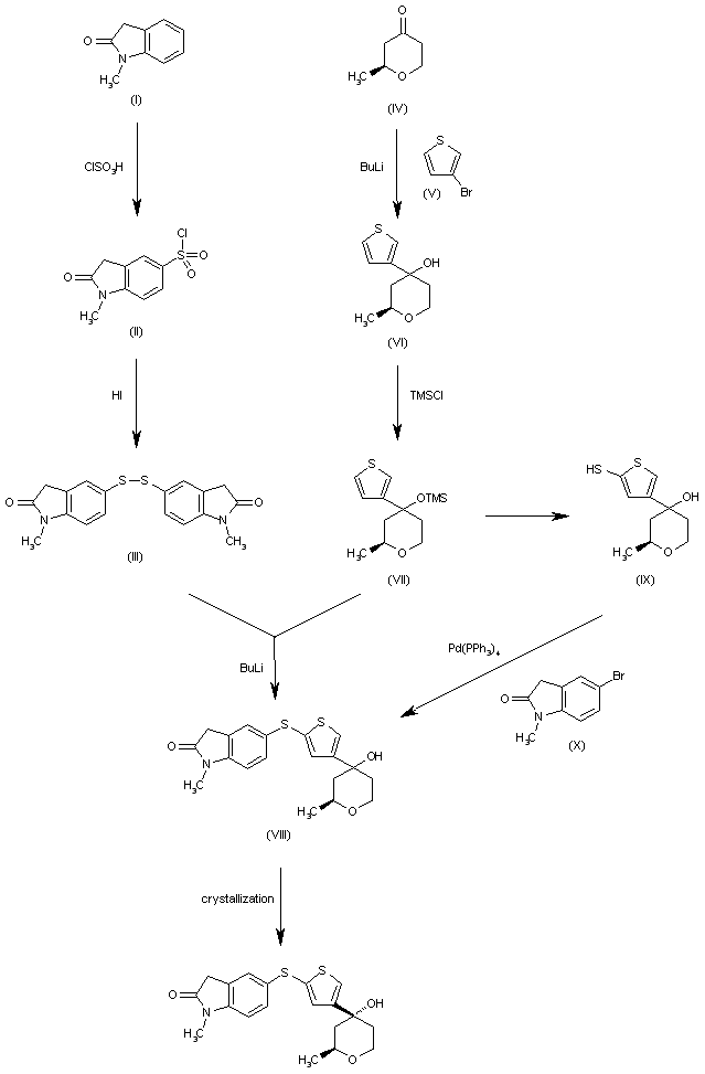
This compound has been obtained by two similar ways: 1) The sulfonation of 1-methyl-2-indolinone (I) with hot chlorosulfonic acid gives the 5-chlorosulfonyl derivative (II), which is reduced with 55% aqueous HI to yield the disulfide (III). The condensation of (III) with 2(S)-methyl-4-(3-thienyl)-4-(trimethylsilyloxy)tetrahydropyran (VII) by means of BuLi in THF affords 5-[4-(4-hydroxy-2(S)-methyltetrahydropyran-4-yl)-2-thienylsulfanyl]-1-methylindolin-2-one (VIII) as a diastereomeric mixture, from which the target isomer has been isolated by crystallization. The intermediate tetrahydropyran (VII) has been obtained by condensation of 2(S)-methyltetrahydropyran-4-one (IV) with 3-bromothiophene (V) by means of BuLi in hexane/THF to give 2(S)-methyl-4-(3-thienyl)tetrahydropyran-4-ol (VI), which is silylated with Tms-Cl and DMAP in THF to afford the target intermediate (VII). 2) The reaction of intermediate (VII) with dimethyl disulfide and BuLi gives the mercaptan (IX), which is condensed with 5-bromo-1-methylindolin-2-one (X) by means of palladium tetrakis(triphenylphosphine) in hot DMSO to afford the previously described diastereomeric mixture (VIII).

Drug Information Express,Drug R&D,Chemical Database,Patent Search.
Copyright © 2006-2026 Drug Future. All rights reserved.Contact Us