【药物名称】Tocladesine, Adenazole, ICN-1256, NSC-614491, 8-Cl-cAMP
化学结构式(Chemical Structure):
参考文献No.18515
标题:Treatment of malignant tumours with 8-chloroadenosine 3'-5'-cyclic phosphate, 8-aminoadenosine 3',5'-cyclic phosphate and preparation thereof
作者:Robins, R.K.; Revankar, G.R.; Chang, Y. (Nucleic Acid Res. Inst., Costa Mesa)
来源:EP 0499291; WO 8905648
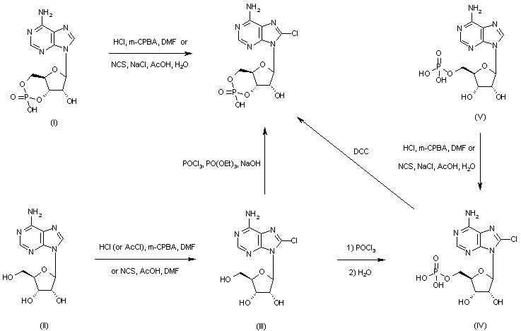
合成路线图解说明:

Direct chlorination of adenosine 3',5'-cyclic phosphate (I) was carried out by treatment with anhydrous HCl and m-chloroperbenzoic acid (m-CPBA) in DMF or with N-chlorosuccinimide and NaCl in aqueous HOAc. Chlorination of adenosine (II) was achieved by treatment with HCl in the presence of m-CPBA or in the absence of the oxidating reagent m-CPBA at a higher temperature and longer reaction times. The resultant 8-chloroadenosine (III) was converted to the monophosphate (IV) by means of POCl3, and this was further cyclized to the title compound using DCC. 8-Chloroadenosine monophosphate (IV) was also accessible by chlorination of adenosine monophosphate (V). Optionally, the chlorinated adenosine (III) was directly converted to the title cyclic phosphate by phosphorylation with POCl3 in the presence of NaOH in triethyl phosphate as the solvent.

合成路线图解说明:

The title chloro derivative was also obtained by halogen exchange of the previously reported 8-bromoadenosine cyclic phosphate (VI) with CaCl2 in hot DMF. Alternatively, the 8-thioadenosine derivative (VII) was converted into the target compound by treatment with elemental chlorine in methanolic HCl at -15 C.

参考文献No.688697
标题:The facile and efficient synthesis of 8-chloroadenosine 3',5'-cyclic monophosphate by phosphorylative cyclization of 8-chloroadenosine and its characterization by 1H and 13C NMR spectroscopy
作者:Woo, N.-T.; et al.
来源:Arch Pharmacal Res 1997,20(2),176
合成路线图解说明:

Direct chlorination of adenosine 3',5'-cyclic phosphate (I) was carried out by treatment with anhydrous HCl and m-chloroperbenzoic acid (m-CPBA) in DMF or with N-chlorosuccinimide and NaCl in aqueous HOAc. Chlorination of adenosine (II) was achieved by treatment with HCl in the presence of m-CPBA or in the absence of the oxidating reagent m-CPBA at a higher temperature and longer reaction times. The resultant 8-chloroadenosine (III) was converted to the monophosphate (IV) by means of POCl3, and this was further cyclized to the title compound using DCC. 8-Chloroadenosine monophosphate (IV) was also accessible by chlorination of adenosine monophosphate (V). Optionally, the chlorinated adenosine (III) was directly converted to the title cyclic phosphate by phosphorylation with POCl3 in the presence of NaOH in triethyl phosphate as the solvent.

参考文献No.688699
标题:Synthesis and biological activity of 8-haloadenosine 3',5'-cyclic phosphates
作者:Muneyama, K.; et al.
来源:J Carbohydr Nucleosides Nucleotides 1974,1(1),55
合成路线图解说明:

The title chloro derivative was also obtained by halogen exchange of the previously reported 8-bromoadenosine cyclic phosphate (VI) with CaCl2 in hot DMF. Alternatively, the 8-thioadenosine derivative (VII) was converted into the target compound by treatment with elemental chlorine in methanolic HCl at -15 C.

Drug Information Express,Drug R&D,Chemical Database,Patent Search.
Copyright © 2006-2026 Drug Future. All rights reserved.Contact Us