【药物名称】MDL-75204DA ((-)-enantiomer), MDL-74722DA ((+)-enantiomer), MDL-74180DA
化学结构式(Chemical Structure):
参考文献No.45908
标题:Novel process for preparing derivatives of 2,2,4,6,7-pentaalkyl-2,2-dihydrobenzofuranols
作者:Ayers, T.A.; Schnettler, R.A.; Marciniak, G.; Krysan, D.J. (Hoechst Marion Roussel Inc.)
来源:EP 0813530
合成路线图解说明:

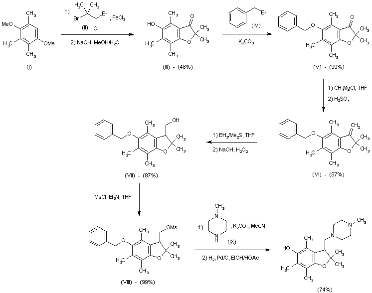
The cyclization of 2,5-dimethoxy-1,3,4-trimethylbenzene (I) with 2-bromo-2-methylpropionyl bromide (II) by means of FeCl3 and NaOH in methanol/water gives 5-hydroxy-2,2,4,6,7-pentamethyl-2,3-dihydrobenzofuran-3-one (III), which is treated with benzyl bromide (IV) and K2CO3 to yield the benzyl ether (V). The reaction of (V) with methylmagnesium bromide, followed by dehydration of the intermediate carbinol affords the methylene derivative (VI), which is hydroxylated with borane / dimethylsulfide and NaOH/H2O2 to furnish the hydroxymethyl compound (VII). The reaction of (VII) with MsCl and TEA gives the mesylate (VIII), which is finally condensed with 1-methylpiperazine (IX) by means of K2CO3 and debenzylated by hydrogenation with H2 over Pd/C in ethanol/HOAc to afford the target compound as a racemic mixture.

合成路线图解说明:

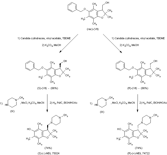
The enantiomers of the title product have been obtained by optical resolution of the racemic hydroxymethyl compound (rac)-(VII) by means of "Candida cylindracea" and vinyl acetate to give (S)-(VII) and (R)-(VII). Finally both chiral intermediates are condensed with 1-methylpiperazine (IX) and debenzylated by hydrogenation with H2 over Pd/C in ethanol/HOAc for the racemic mixture (rac)-(VII).

参考文献No.803815
标题:Design and biological evaluation of new antioxidants for use in cerebrovascular disorders
作者:Petty, M.A.; Marciniak, G.
来源:Drugs Fut 1996,21(10),1037
合成路线图解说明:

The cyclization of 2,5-dimethoxy-1,3,4-trimethylbenzene (I) with 2-bromo-2-methylpropionyl bromide (II) by means of FeCl3 and NaOH in methanol/water gives 5-hydroxy-2,2,4,6,7-pentamethyl-2,3-dihydrobenzofuran-3-one (III), which is treated with benzyl bromide (IV) and K2CO3 to yield the benzyl ether (V). The reaction of (V) with methylmagnesium bromide, followed by dehydration of the intermediate carbinol affords the methylene derivative (VI), which is hydroxylated with borane / dimethylsulfide and NaOH/H2O2 to furnish the hydroxymethyl compound (VII). The reaction of (VII) with MsCl and TEA gives the mesylate (VIII), which is finally condensed with 1-methylpiperazine (IX) by means of K2CO3 and debenzylated by hydrogenation with H2 over Pd/C in ethanol/HOAc to afford the target compound as a racemic mixture.

合成路线图解说明:

The enantiomers of the title product have been obtained by optical resolution of the racemic hydroxymethyl compound (rac)-(VII) by means of "Candida cylindracea" and vinyl acetate to give (S)-(VII) and (R)-(VII). Finally both chiral intermediates are condensed with 1-methylpiperazine (IX) and debenzylated by hydrogenation with H2 over Pd/C in ethanol/HOAc for the racemic mixture (rac)-(VII).

Drug Information Express,Drug R&D,Chemical Database,Patent Search.
Copyright © 2006-2026 Drug Future. All rights reserved.Contact Us