【药物名称】V-11294A
化学结构式(Chemical Structure):
参考文献No.25852
标题:Novel chemical cpds. having PDE-IV inhibition activity
作者:Cavalla, D.; Hoefer, P.; Gehrig, A.; Wintergest, P. (Euroceltique SA)
来源:EP 0705265; JP 1997500376; US 5939422; WO 9500516
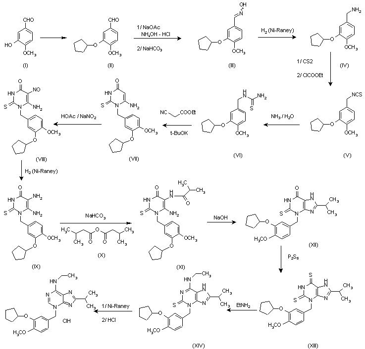
合成路线图解说明:

Isovanillin (I) is an available starting material to obtain 3-cyclopentyloxy-4-methoxybenzaldehyde (II), which is converted into the corresponding oxime (III) by treatment with hydroxylamine hydrochloride / sodium acetate trihydrate and NaHCO3. The oxime (III) is reduced to benzylamine (IV) by means hydrogen gas and catalyzed by Raney-Nickel. The reaction of benzylamine (IV) with carbon disulfide and ethyl chloroformate gives the corresponding benzyl isothiocyanate (V), which is converted into thiourea (VI) by means ammonia solution. The cyclization of thiourea (VI) with potasium tert-butoxide and ethyl cyanoacetate yields the corresponding 2-thiouracil (VII), which is converted into 5-nitroso derivative (VIII) by treatment with acetic acid and sodium nitrite solution. The hydrogenation of 5-nitroso-uracil (VIII) with hydrogen gas and neutral Raney-nickel gives diaminouracil compound (IX), which is converted into the isobutyrilaminouracil derivative (XI) by means NaHCO3 and isobutyric anhydride (X). Compound (XI) is refluxed in NaOH to afford 2-thioxantine (XII), which is converted into 2,6-dithioxantine (XIII) by means phosphorus pentasulfide in pyridine. Finally, the reaction of compound (XIII) with ethylamine gives the 2-thioisoguanine (XIV), which is desulfurized by neutral Raney-Nickel and converted into the desired purine hydrochloride by means hydrochloric acid.

Drug Information Express,Drug R&D,Chemical Database,Patent Search.
Copyright © 2006-2026 Drug Future. All rights reserved.Contact Us