【药物名称】Omapatrilat, BMS-186716, Vanlev
化学结构式(Chemical Structure):
参考文献No.25800
标题:Bicyclic carboxylic acids and their derivs. as NEP and ACE inhibitors
作者:Robl, J.A.; Kronenthal, D.R.; Goderey, J.D. Jr. (Bristol-Myers Squibb Co.)
来源:EP 0629627; JP 1995048259; US 5508272
合成路线图解说明:

3) The condensation of 2(S)-phthalimido-4-(triphenylmethoxy)butyric acid (XVII) with 2(S)-amino-6,6-dimethoxyhexanoic acid methyl ester (XVIII) by means of BOP in methylene chloride gives the corresponding amide (XIX), which is treated with p-toluenesulfonic acid in methanol to eliminate the trityl group, yielding (XX) with a free hydroxy group. The reaction of (XX) with thioacetic acid by means of triphenylphosphine/diisopropyl azidodicarboxylate in THF affords the thioacetate (XXI), which is cyclized with sodium methoxide in methanol as before, giving the protected pyridothiazepinone (XXII). Finally, this compound is deprotected with hydrazine in methanol to afford the previously reported intermediate (VI). 4) The intermediates 2(S)-phthalimido-4-(triphenylmethoxy)butyric acid (XVII) and 2(S)-amino-6,6-dimethoxyhexanoic acid methyl ester (XVIII) have been obtained as follows: 4a) The condensation of L-homoserine (XXIII) with phthalimide-N-carboxylic acid ethyl ester (XXIV) by means of Na2CO3 in water gives 4-hydroxy-2(S)-phthalimidobutyric acid (XXV), which is then treated with trityl chloride and triethylamine in chloroform to yield intermediate (XVII). 4b) The condensation of 6-hydroxy-L-norleucine (XVI) with phthalimide (XXIV) as before gives 6-hydroxy-2(S)-phthalimidohexanoic acid (XXVI), which is esterified with methyl iodide/Cs2CO3 in DMF to yield the methyl ester (XXVII). The oxidation of (XXVII) with oxalyl chloride in dichloromethane affords aldehyde (XXVIII), which is treated with trimethyl orthoformate/p-toluenesulfonic acid to give the dimethylketal (XXIX). Finally, this compound is deprotected with hydrazine in methanol, yielding intermediate (XVIII).

参考文献No.416754
标题:Dual metalloprotease inhibitors: Mercaptoacetyl-based fused heterocyclic dipeptide mimetics as inhibitors of angiotensin-converting enzyme and neutral endopeptidase
作者:Sun, C.-Q.; Robl, J.A.; Stevenson, J.; Ryono, D.E.; Simpkins, L.M.; Cimarusti, M.P.; Dejneka, T.; Slusarchyk, W.A.; Chao, S.; Stratton, L.; Misra, R.N.; Bednarz, M.S.; Asaad, M.M.; Cheung, H.S.; Abboa-Offei, B.E.; Smith, P.L.; Mathers, P.D.; et al.
来源:J Med Chem 1997,40(11),1570
合成路线图解说明:

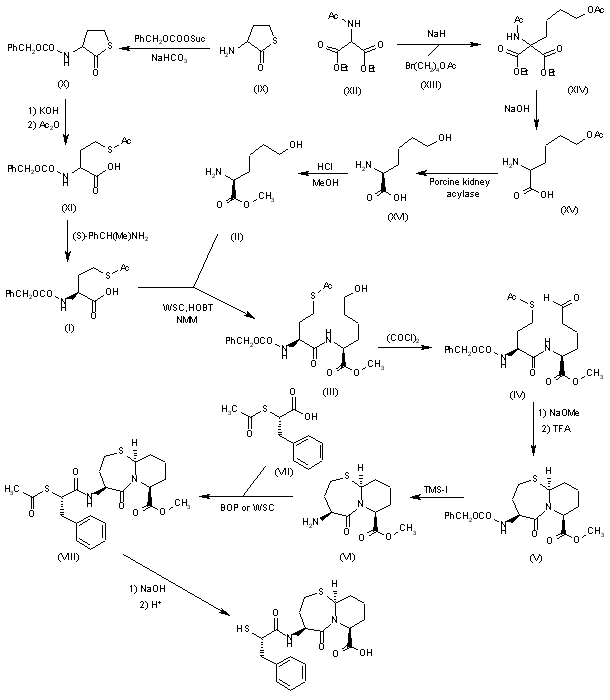
1) The condensation of S-acetyl-N-(benzyloxycarbonyl)-L-homocysteine (I) with 6-hydroxy-L-norleucine methyl ester (II) by means of 1-[3-(dimethylamino)propyl]-3-ethylcarbodiimide (WSC) and hydroxybenzotriazole (HOBT) in dichloromethane gives the corresponding dipeptide (III), which is oxidized with oxalyl chloride in dichloromethane, yielding the aldehyde (IV). The cyclization of (IV) by means of sodium methoxide and trifluoroacetic acid affords the perhydro-pyridothiazepinone (V), which is deprotected with trimethylsilyl iodide (TMS-I) in dichloromethane to give (VI) with a free amino group (1). The acylation of (VI) with 2(S)-(acetylsulfanyl)-3-phenylpropionic acid (VII) by means of (benzotriazol-1-yloxy)tris(dimethylamino)phosphonium hexafluorophosphate (BOP) in dichloromethane yields the corresponding amide (VIII), which is finally deprotected with NaOH in methanol and treated with HCl. 2) The intermediates S-acetyl-N-(benzyloxycarbonyl)-L-homocysteine (I) and 6-hydroxy-L-norleucine (II) have been obtained as follows: 2a) The protection of 3-aminotetrahydrothiophen-2-one (IX) with N-(benzyloxycarbonyloxy)succinimide gives the expected carbamate (X), which is treated first with KOH and then with acetic anhydride, yielding S-acetyl-N-(benzyloxycarbonyl)-DL-homocysteine (XI). Finally, this compound is submitted to optical resolution with (S)-alpha-methylbenzylamine to afford intermediate (I). 2b) The alkylation of acetamidomalonic acid diethyl ester (XII) with 4-acetoxybutyl bromide (XIII) by means of NaH in DMF gives the alkylated ester (XIV), which by a decarboxylative saponification yields 6-acetoxy-DL-norleucine (XV). Optical resolution of (XV) by means of porcine kidney acylase/LiOH in water affords pure 6-hydroxy-L-norleucine (XVI), which is finally esterified with methanol/HCl to intermediate (II).

参考文献No.489142
标题:Omapatrilat
作者:Graul, A.; Casta馿r, J.; Leeson, P.
来源:Drugs Fut 1999,24(3),269
合成路线图解说明:

1) The condensation of S-acetyl-N-(benzyloxycarbonyl)-L-homocysteine (I) with 6-hydroxy-L-norleucine methyl ester (II) by means of 1-[3-(dimethylamino)propyl]-3-ethylcarbodiimide (WSC) and hydroxybenzotriazole (HOBT) in dichloromethane gives the corresponding dipeptide (III), which is oxidized with oxalyl chloride in dichloromethane, yielding the aldehyde (IV). The cyclization of (IV) by means of sodium methoxide and trifluoroacetic acid affords the perhydro-pyridothiazepinone (V), which is deprotected with trimethylsilyl iodide (TMS-I) in dichloromethane to give (VI) with a free amino group (1). The acylation of (VI) with 2(S)-(acetylsulfanyl)-3-phenylpropionic acid (VII) by means of (benzotriazol-1-yloxy)tris(dimethylamino)phosphonium hexafluorophosphate (BOP) in dichloromethane yields the corresponding amide (VIII), which is finally deprotected with NaOH in methanol and treated with HCl. 2) The intermediates S-acetyl-N-(benzyloxycarbonyl)-L-homocysteine (I) and 6-hydroxy-L-norleucine (II) have been obtained as follows: 2a) The protection of 3-aminotetrahydrothiophen-2-one (IX) with N-(benzyloxycarbonyloxy)succinimide gives the expected carbamate (X), which is treated first with KOH and then with acetic anhydride, yielding S-acetyl-N-(benzyloxycarbonyl)-DL-homocysteine (XI). Finally, this compound is submitted to optical resolution with (S)-alpha-methylbenzylamine to afford intermediate (I). 2b) The alkylation of acetamidomalonic acid diethyl ester (XII) with 4-acetoxybutyl bromide (XIII) by means of NaH in DMF gives the alkylated ester (XIV), which by a decarboxylative saponification yields 6-acetoxy-DL-norleucine (XV). Optical resolution of (XV) by means of porcine kidney acylase/LiOH in water affords pure 6-hydroxy-L-norleucine (XVI), which is finally esterified with methanol/HCl to intermediate (II).

合成路线图解说明:

3) The condensation of 2(S)-phthalimido-4-(triphenylmethoxy)butyric acid (XVII) with 2(S)-amino-6,6-dimethoxyhexanoic acid methyl ester (XVIII) by means of BOP in methylene chloride gives the corresponding amide (XIX), which is treated with p-toluenesulfonic acid in methanol to eliminate the trityl group, yielding (XX) with a free hydroxy group. The reaction of (XX) with thioacetic acid by means of triphenylphosphine/diisopropyl azidodicarboxylate in THF affords the thioacetate (XXI), which is cyclized with sodium methoxide in methanol as before, giving the protected pyridothiazepinone (XXII). Finally, this compound is deprotected with hydrazine in methanol to afford the previously reported intermediate (VI). 4) The intermediates 2(S)-phthalimido-4-(triphenylmethoxy)butyric acid (XVII) and 2(S)-amino-6,6-dimethoxyhexanoic acid methyl ester (XVIII) have been obtained as follows: 4a) The condensation of L-homoserine (XXIII) with phthalimide-N-carboxylic acid ethyl ester (XXIV) by means of Na2CO3 in water gives 4-hydroxy-2(S)-phthalimidobutyric acid (XXV), which is then treated with trityl chloride and triethylamine in chloroform to yield intermediate (XVII). 4b) The condensation of 6-hydroxy-L-norleucine (XVI) with phthalimide (XXIV) as before gives 6-hydroxy-2(S)-phthalimidohexanoic acid (XXVI), which is esterified with methyl iodide/Cs2CO3 in DMF to yield the methyl ester (XXVII). The oxidation of (XXVII) with oxalyl chloride in dichloromethane affords aldehyde (XXVIII), which is treated with trimethyl orthoformate/p-toluenesulfonic acid to give the dimethylketal (XXIX). Finally, this compound is deprotected with hydrazine in methanol, yielding intermediate (XVIII).

参考文献No.637700
标题:Enzymatic synthesis of chiral intermediates for omapatrilat, an antihypertensive drug
作者:Patel, R.N.
来源:Biomol Eng 2001,17(6),167
合成路线图解说明:

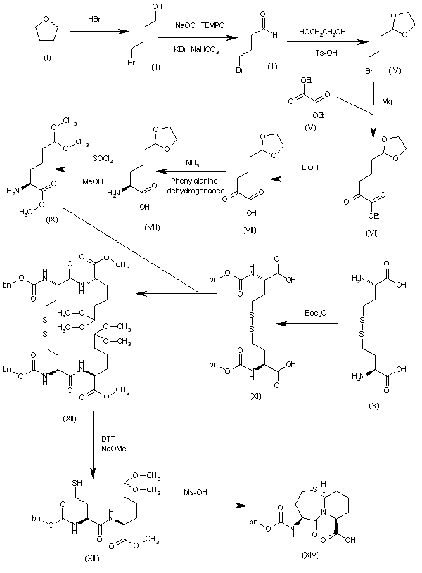
The reaction of tetrahydrofuran (I) with HBr gives 4-bromobutanol (II), which is oxidized with NaOCl and TEMPO to yield the aldehyde (III). The reaction of (III) with ethyleneglycol and Ts-OH provides the cyclic ketal (IV), which is submitted to a Grignard condensation with diethyl oxalate (V) and Mg to give the alpha-ketoester (VI). The hydrolysis of (VI) with LiOH yields the corresponding alpha-ketoacid (VII), which is submitted to a stereoselective amination with ammonia and phenylalanine dehydrogenase to afford 2(S)-amino-5-(1,3-dioxol-2-yl)pentanoic acid (VIII). The reaction of (VIII) with SOCl2 and Me-OH provides 2(S)-amino-5,5-dimethoxypentanoic acid methyl ester (IX). The reaction of L- homocystine (X) with Boc2O gives the N-protected-L-homocystine (XI), which is condensed with pentanoic ester (IX) to yield the dimeric adduct (XII). The cleavage of (XII) with dithiothreitol (DTT) affords the monomeric intermediate (XIII), which is finally cyclized by means of Ms-OH to provide the target pyrido[2,1-b][1,3]thiazepine intermediate (XIV).

合成路线图解说明:

The activation of N,N'-bis(benzyloxycarbonyl)-L-homocystine (I) with N-hydroxysuccinimide (II) by means of DCC gives the activated diester (III), which is condensed with N-(tert-butoxycarbonyl)-L-lysine (IV) by means of K2CO3, yielding the protected peptide (V). The selective deprotection of the epsilon amino groups of (V) by means of formic acid affords the dimeric peptide (VI), which is cleaved with dithiothreitol (DTT) to provide benzyloxycarbonyl-L-homocysteinyl-L-lysine (VII). The oxidation of (VII) with L-lysine epsilon aminotransferase (S. paucimobili or rec. E. coli) furnishes the formyl derivative (VIII), which is finally cyclized in acid medium to afford, through the nonisolated intermediate (IX), the target pyrido[2,1-b][1,3]thiazepine intermediate (X).

合成路线图解说明:

The treatment of dipeptide S-acetyl-N-(benzyloxycarbonyl)-L-homocysteinyl-L-lysine (I) with L-lysine epsilon aminotransferase (S. paucimobili or E. coli) gives the formyl derivative (II), which is cyclized in acid medium, through the tetrahydropyridinyl intermediate (III), to afford the target pyrido[2,1-b][1,3]thiazepine intermediate (IV). Alternatively, the treatment of dipeptide S-acetyl-N-(benzyloxycarbonyl)-L-homocysteinyl-L-lysine (I) with cell free extracts of E. coli gives N-(benzyloxycarbonyl)-L-homocysteinyl-L-lysine (V), which is digested with L-lysine epsilon aminotransferase (S. paucimobili or E. coli) to yield the formyl derivative (VI). Finally, this compound is cyclized in acid medium to afford the target pyrido[1,2-b][1,3]thiazepine intermediate (IV).

合成路线图解说明:

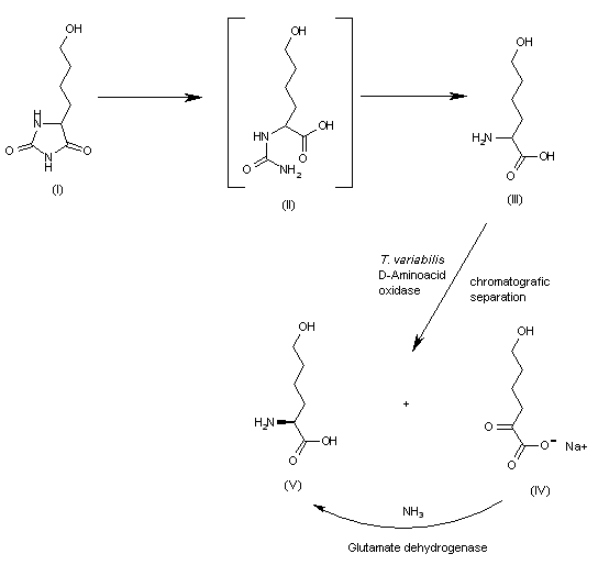
The hydrolysis of commercially available 5-(4-hydroxybutyl)hydantoin (I) gives racemic 6-hydroxynorleucine (rac)-(III), which is digested with T. variabilis D-amino acid oxidase to yield a mixture of the desired intermediate L-6-hydroxynorleucine (L)-(V) and the 6-hydroxy-2-oxohexanoic acid sodium salt (IV) that is separated by chromatography. The undesired 6-hydroxy-2-oxohexanoic acid sodium salt (IV) was converted to L-6-hydroxynorleucine (L)-(V) by reductive amination with glutamate dehydrogenase.

Drug Information Express,Drug R&D,Chemical Database,Patent Search.
Copyright © 2006-2026 Drug Future. All rights reserved.Contact Us