【药物名称】FR-161282
化学结构式(Chemical Structure):
参考文献No.547589
标题:Synthesis and characterization of orally active nonpeptide vasopressin V2 receptor antagonists
作者:Ohkawa, T.; Zenkoh, T.; Tomita, M.; Hosogai, N.; Hemmi, K.; Tanaka, H.; Setoi, H.
来源:Chem Pharm Bull 1999,47(4),501
合成路线图解说明:

2-Methoxybenzoic acid (I) was protected as the oxazoline (II). Further coupling with tolylmagnesium bromide, followed by acid hydrolysis of the oxazoline provided the intermediate biphenyl carboxylic acid (III).

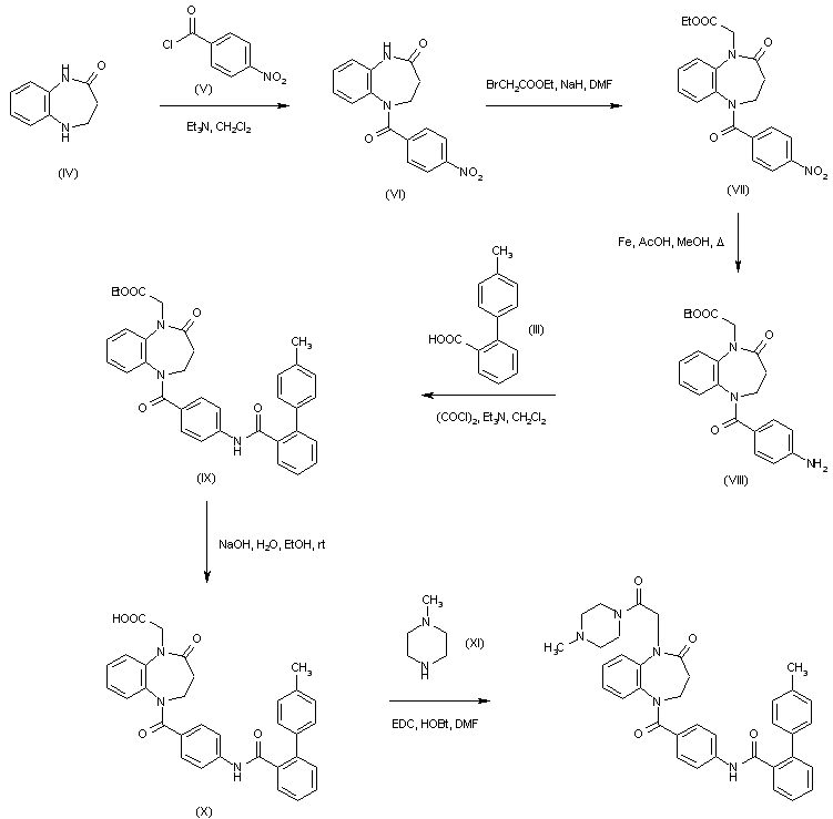
合成路线图解说明:

Condensation of benzodiazepinone (IV) with 4-nitrobenzoyl chloride (V) afforded amide (VI), which was alkylated with ethyl bromoacetate in the presence of NaH to give (VII). The nitro group of (VII) was reduced to aniline (VIII) using Fe and AcOH. Subsequent coupling of (VIII) with the acid chloride generated from biphenyl carboxylic acid (III) and oxalyl chloride produced the corresponding amide (IX). The ester group of (IX) was then hydrolyzed with NaOH, and the resulting carboxylic acid (X) was finally condensed with N-methylpiperazine (XI) using 1-(3-dimethylaminopropyl)-3-ethylcarbodiimide hydrochloride and 1-hydroxybenzotriazole as the coupling reagents.

Drug Information Express,Drug R&D,Chemical Database,Patent Search.
Copyright © 2006-2026 Drug Future. All rights reserved.Contact Us