【药物名称】CT-2584, Apra
化学结构式(Chemical Structure):
参考文献No.25076
标题:Second messenger cell signaling inhibitors
作者:Michnick, J.; Underiner, G.E.; Klein, J.P.; Rice, G.C.; Sunkara, P.S. (Cell Therapeutics, Inc.)
来源:CH 686830; EP 0719267; JP 1996508981; US 5470878; WO 9422863
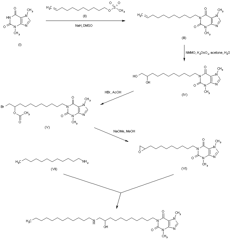
合成路线图解说明:

The alkylation of theobromine (I) with undecenyl mesylate (II) in the presence of NaH in DMSO afforded the 1-undecenyl xanthine (III). Dihydroxylation of the terminal double bond of (III) by means of N-methylmorpholine-N-oxide and a catalytic amount of potassium osmate gave diol (IV), which was further converted to bromo acetate (V) by treatment with a solution of HBr in AcOH. Methanolysis of the bromoester (V) with concomitant cyclization gave rise to epoxide (VI). Finally, epoxide opening upon heating with dodecylamine (VII) furnished the target amino alcohol.

Drug Information Express,Drug R&D,Chemical Database,Patent Search.
Copyright © 2006-2026 Drug Future. All rights reserved.Contact Us