【药物名称】Clevudine, Levovir, L-FMAU
化学结构式(Chemical Structure):
参考文献No.681401
标题:New synthesis of L-FMAU from L-arabinose
作者:Sznaidman, M.L.; Almond, M.R.; Pesyan, A.
来源:Nucleosides Nucleotides Nucleic Acids 2002,21(2),155
合成路线图解说明:

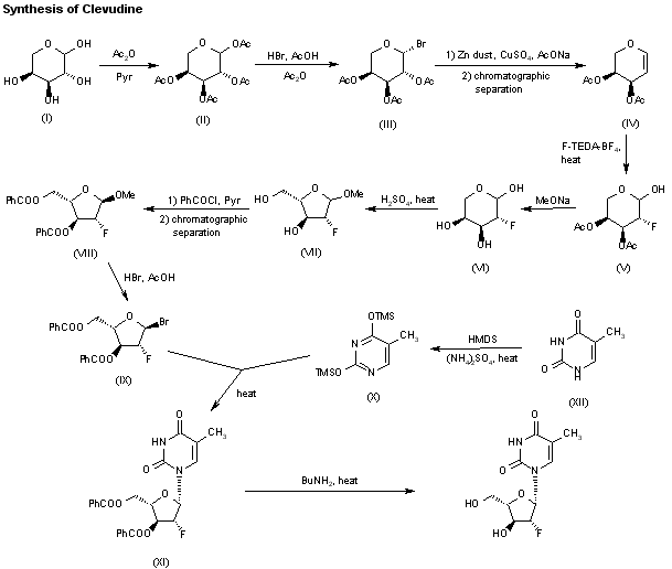
A new synthesis of clevudine has been described: Peracetylation of L-arabinose (I) with acetic anhydride and pyridine provides acetylated arabinose (II), which is then brominated by means of HBr in AcOH/Ac2O to furnish the bromo-sugar (III). Treatment of the sugar (III) with Zn dust, CuSO4 and NaOAc in AcOH/H2O, followed by chromatographic separation, gives L-arabinal (IV), which is then converted to the fluoro derivative (V) by reaction with Selectfluor?(F-TEDA-BF4) in refluxing nitromethane/H2O. Deacetylation of compound (V) with NaOMe in MeOH yields compound (VI), which is then converted into the methyl furanoside (VII) by treatment with H2SO4 in MeOH. Benzoylation of the furanoside (VII) with benzoyl chloride in pyridine affords a mixture of isomers, from which (VIII) is separated by chromatography and then brominated with HBr/AcOH in CH2Cl2 to provide the bromo-sugar (IX). Condensation of the sugar (IX) with the silylated pyrimidine derivative (X) in refluxing chloroform affords 3,5-di-O-benzoylclevudine (XI), which is finally deprotected by treatment with n-butylamine in refluxing methanol. Compound (X) is obtained by treatment of thymine (XII) with HMDS (1,1,1,3,3,3-hexamethyldisilazane) and ammonium sulfate in refluxing chloroform.

参考文献No.802806
标题:Fluorocarbohydrates in synthesis. An efficient synthesis of 1-(2-deoxy-2-fluoro-?D-arabinofuranosyl)-thymine (?D-FMAU)
作者:Brundidge; Tann, C.H.; Brodfuehrer, P.R.; et al.
来源:J Org Chem 1985,503644-6
合成路线图解说明:

Previously, it was reported that D-ribose was synthesized from D-xylose, the epimer of D-ribose, via a stereoselective oxidation-reduction procedure, albeit in low yield. This strategy was adapted to prepare the L-ribose derivative (V) for the practical synthesis of L-FMAU as well as related nucleosides. After pyridinium dichromate (PDC) oxidation, ketone (III) was reduced to an alcohol using NaBH4. It should be mentioned that due to the stereoelectronic effects of the 1,2-O-isopropylidene group, the hydride preferentially attacks from the beta-face. After a series of reactions, compound (V) was obtained and treated with saturated hydrogen chloride in CH2Cl2 at 0 C followed by the migration of the benzoyl group and treatment with SO2Cl2 and imidazole in DMF/CH2Cl2 to give a imidazolyl intermediate. The imidazole derivative was fluorinated with a mixture of KHF2 and 48% HF/H2O to give 1,3,5-tri-O-benzoyl-2-fluoro-alpha-L-arabinofuranose, which was converted to bromosugar (VI) using 45% HBr/AcOH. Without further purification, the bromosugar was condensed with silylated thymine in anhydrous CHCl3 in refluxing conditions to give protected L-FMAU with high stereoselectivity, which was further treated with NH3/CH3OH for debenzoylation to give L-FMAU. Due to the availability and high cost of L-xylose, however, we have developed another procedure from L-arabinose. L-Arabinose is a natural sugar with reasonable cost. The anomeric position was protected with a benzyl group in acidic conditions to the pyranose form and the vicinal cis-hydroxy groups were protected with an isopropylidene group. In similar conditions as for L-xylose, PDC was used for the oxidation reaction to obtain ketone (IV), which was reduced with NaBH4 in methanol with high stereoselectivity as described for L-xylose. After deprotection of compound (IV) using 4% CF3CO2H, the resulting L-ribose was sequentially treated with 1% HCl/MeOH, BzCl/pyridine and H2SO4/AcO/AcOH to obtain compound (V). The remaining steps to L-FMAU were the same as described for the L-xylose route.

参考文献No.802807
标题:Synthesis of D-ribose from D-xylose
作者:Oka, K.; Wada, H.
来源:Yakugaku Zasshi 1963,83890-1
合成路线图解说明:

Previously, it was reported that D-ribose was synthesized from D-xylose, the epimer of D-ribose, via a stereoselective oxidation-reduction procedure, albeit in low yield. This strategy was adapted to prepare the L-ribose derivative (V) for the practical synthesis of L-FMAU as well as related nucleosides. After pyridinium dichromate (PDC) oxidation, ketone (III) was reduced to an alcohol using NaBH4. It should be mentioned that due to the stereoelectronic effects of the 1,2-O-isopropylidene group, the hydride preferentially attacks from the beta-face. After a series of reactions, compound (V) was obtained and treated with saturated hydrogen chloride in CH2Cl2 at 0 C followed by the migration of the benzoyl group and treatment with SO2Cl2 and imidazole in DMF/CH2Cl2 to give a imidazolyl intermediate. The imidazole derivative was fluorinated with a mixture of KHF2 and 48% HF/H2O to give 1,3,5-tri-O-benzoyl-2-fluoro-alpha-L-arabinofuranose, which was converted to bromosugar (VI) using 45% HBr/AcOH. Without further purification, the bromosugar was condensed with silylated thymine in anhydrous CHCl3 in refluxing conditions to give protected L-FMAU with high stereoselectivity, which was further treated with NH3/CH3OH for debenzoylation to give L-FMAU. Due to the availability and high cost of L-xylose, however, we have developed another procedure from L-arabinose. L-Arabinose is a natural sugar with reasonable cost. The anomeric position was protected with a benzyl group in acidic conditions to the pyranose form and the vicinal cis-hydroxy groups were protected with an isopropylidene group. In similar conditions as for L-xylose, PDC was used for the oxidation reaction to obtain ketone (IV), which was reduced with NaBH4 in methanol with high stereoselectivity as described for L-xylose. After deprotection of compound (IV) using 4% CF3CO2H, the resulting L-ribose was sequentially treated with 1% HCl/MeOH, BzCl/pyridine and H2SO4/AcO/AcOH to obtain compound (V). The remaining steps to L-FMAU were the same as described for the L-xylose route.

Drug Information Express,Drug R&D,Chemical Database,Patent Search.
Copyright © 2006-2026 Drug Future. All rights reserved.Contact Us