【药物名称】JTV-519, K-201
化学结构式(Chemical Structure):
参考文献No.27017
标题:1,4-Benzothiazepine derivs.
作者:Kaneko, N.; Oosawa, T.; Sakai, T.; Oota, H. (Kirin Brewery Co., Ltd.)
来源:EP 0565721; US 5416066; WO 9212148
合成路线图解说明:

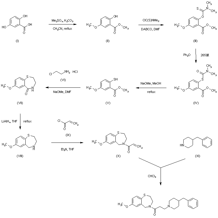
Treatment of 2,5-dihydroxybenzoic acid (I) with dimethyl sulfate and K2CO3 afforded methyl 2-hydroxy-5-methoxybenzoate (II). Condensation of (II) with dimethylthiocarbamoyl chloride gave the O-aryl thiocarbamate (III), which underwent thermal rearrangement to the S-aryl isomer (IV) upon heating at 265 C in diphenyl ether. Subsequent hydrolysis of the thiocarbamate group of (IV) furnished the desired thiophenol compound (V). Cyclization of the mercapto ester (V) with 2-chloroethylamine (VI) gave rise to the benzothiazepinone (VII), which was further reduced to the benzothiazepine (VIII) using LiAlH4. Acylation of (VIII) with acryloyl chloride (IX) provided the acrylamide (X). Finally, Michael addition of 4-benzylpiperidine (XI) to acrylamide (X) yielded the title compound.

Drug Information Express,Drug R&D,Chemical Database,Patent Search.
Copyright © 2006-2026 Drug Future. All rights reserved.Contact Us