【药物名称】RWJ-50172
化学结构式(Chemical Structure):
参考文献No.23262
标题:3-Oxo-pyrido(1,2-a)benzimidazole-4-carboxyl and 4-oxo-azepino(1,2-a)benzimidazole-5-carboxyl derivs. useful in treating central nervous system disorders
作者:Maryanoff, B.E.; McComsey, D.F.; Winston, H. (Ortho-McNeil Pharmaceutical, Inc.)
来源:EP 0656002; WO 9404532
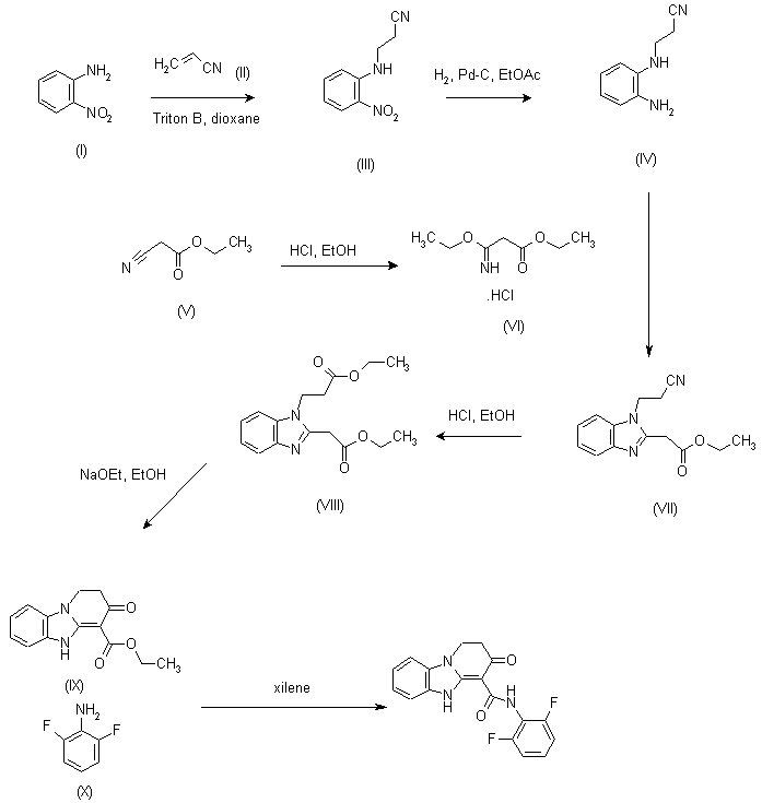
合成路线图解说明:

Conjugated addition of 2-nitroaniline (I) to acrylonitrile (II) in the presence of Triton B in dioxane yielded propionitrile (III), which was hydrogenated to the phenylenediamine (IV). Treatment of ethyl cyanoacetate (V) with a cold saturated solution of HCl in absolute ethanol gave ethyl ethoxycarbonylacetimidate hydrochloride (VI). Reaction of this acetimidate (VI) with phenylenediamine (IV) in refluxing ethanol afforded the benzimidazole (VII), which was converted to the diester (VIII) on treatment with ethanolic HCl. Dieckmann condensation of diester (VIII) in the presence of sodium ethoxide furnished the tricyclic ketoester (IX), which was finally condensed with 2,6-difluoroaniline (X) in refluxing xilene to afford the target carboxamide.

参考文献No.400664
标题:Potential anxiolytic agents. Pyrido[1, 2-a]benzimidazoles: A new structural class of ligands for the benzodiazepine binding site on GABA-A receptors
作者:Maryanoff, B.E.; Ho, W.B.; McComsey, D.F.; Reitz, A.B.; Grous, P.P.; Nortey, S.O.; Shank, R.P.; Dubinsky, B.; Taylor, R.J. Jr.; Gardocki, J.F.
来源:J Med Chem 1995,38(1),16
合成路线图解说明:

Conjugated addition of 2-nitroaniline (I) to acrylonitrile (II) in the presence of Triton B in dioxane yielded propionitrile (III), which was hydrogenated to the phenylenediamine (IV). Treatment of ethyl cyanoacetate (V) with a cold saturated solution of HCl in absolute ethanol gave ethyl ethoxycarbonylacetimidate hydrochloride (VI). Reaction of this acetimidate (VI) with phenylenediamine (IV) in refluxing ethanol afforded the benzimidazole (VII), which was converted to the diester (VIII) on treatment with ethanolic HCl. Dieckmann condensation of diester (VIII) in the presence of sodium ethoxide furnished the tricyclic ketoester (IX), which was finally condensed with 2,6-difluoroaniline (X) in refluxing xilene to afford the target carboxamide.

合成路线图解说明:

Addition of acrylonitrile (II) to 3,4-difluoro-2-nitroaniline (I) gave the anilinopropionitrile (III). Subsequent hydrogenation of the nitro group of (III) over Pd/C led to the phenylenediamine (IV), which was condensed with carbethoxyacetimidate-HCl (V) to produce the benzimidazole (VI). After conversion of the nitrile group of (VI) to ester (VII) with ethanolic HCl, Dieckmann condensation using NaOEt furnished the cyclic ketoester (VIII). Finally, reaction of (VIII) with 2,6-difluoroaniline (IX) in xylene yielded the target carboxamide.

Drug Information Express,Drug R&D,Chemical Database,Patent Search.
Copyright © 2006-2026 Drug Future. All rights reserved.Contact Us