【药物名称】OPC-29030
化学结构式(Chemical Structure):
参考文献No.25534
标题:Carbostyril derivs.
作者:Nishi, T.; Uno, T.; Shu, Y.; Tamura, K.; Okada, M. (Otsuka Pharmaceutical Co., Ltd.)
来源:EP 0651747; JP 1995033765; US 5541198; WO 9426732
合成路线图解说明:

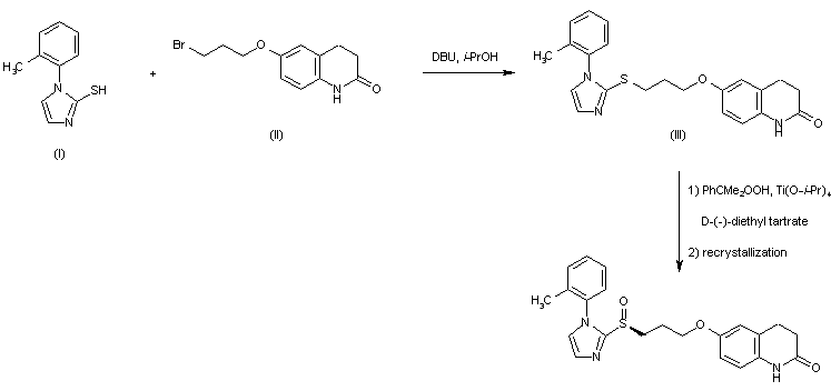
Alkylation of 2-mercapto-1-o-tolylimidazole (I) with the bromopropoxy tetrahydroquinolinone (II) in the presence of DBU gave sulfide (III). Then, asymmetric oxidation of (III) with cumene hydroperoxide and titanium tetraisopropoxide, using D-diethyl tartrate as the chiral auxiliary produced the target (S)-sulfoxide with low enantiomeric excess. Several recrystallizations from EtOH-EtOAc yielded the enantiomerically rich compound.

合成路线图解说明:

In a further procedure, the bromophenyl imidazole (XIII) was prepared by treatment of 4-bromo-2-methylaniline (IX) with carbon disulfide and DCC to produce isothiocyanate (X). Condensation with 2,2-diethoxyethylamine (XI) gave thiourea (XII), which was cyclized in refluxing 8 N HCl to the 1-aryl-2-mercaptoimidazole (XIII). This was alkylated with the chloropropoxy quinolinone (XIV) to give sulfide (XV). Sharpless oxidation in the presence of D-diethyl tartrate produced the (S)-sulfoxide (XVI). Finally, hydrogenolysis of the halogen atom over Pd/C furnished the title compound.

合成路线图解说明:

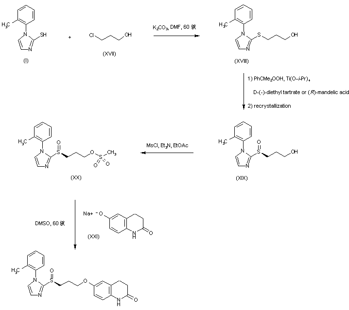
Alternatively, the intermediate chiral hydroxy sulfoxide (XIX) was prepared by the following procedures. Alkylation of mercaptoimidazole (I) with 3-chloropropanol (XVII) gave thioether (XVIII). This was oxidized with cumene hydroperoxide and titanium tetraisopropoxide in the presence of either D-diethyl tartrate or (R)-mandelic acid as the chiral auxiliaries to provide, after recrystallization from methyl ethyl ketone, the optically pure sulfoxide (XIX). Subsequent treatment with methanesulfonyl chloride and triethylamine gave mesylate (XX), which was finally condensed with the sodium salt of 6-hydroxytetrahydroquinolinone (XXI) in DMSO at 60 C.

参考文献No.331607
标题:Synthesis of 2(1H)-quinolinone derivatives and their inhibitory activity on the release of 12(S)-hydroxyeicosatetraenoic acid (12-HETE) from platelets
作者:Uno, T.; Ozeki, Y.; Koga, Y.; Chu, G.-N.; Okada, M.; Tamura, K.; Igawa, T.; Unemi, F.; Kido, M.; Nishi, T.
来源:Chem Pharm Bull 1995,43(10),1724
合成路线图解说明:

Alkylation of 2-mercapto-1-o-tolylimidazole (I) with the bromopropoxy tetrahydroquinolinone (II) in the presence of DBU gave sulfide (III). Then, asymmetric oxidation of (III) with cumene hydroperoxide and titanium tetraisopropoxide, using D-diethyl tartrate as the chiral auxiliary produced the target (S)-sulfoxide with low enantiomeric excess. Several recrystallizations from EtOH-EtOAc yielded the enantiomerically rich compound.

合成路线图解说明:

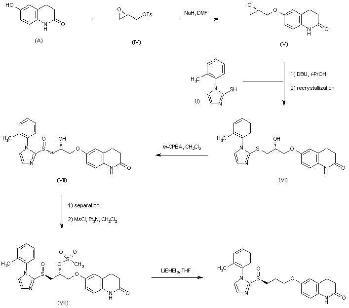
The enantiomerically pure sulfoxide was prepared by a different route, starting from the alkylation of hydroxyquinolinone (A) with (S)-glycidyl tosylate (IV) to give the chiral epoxide (V). Ring opening with mercaptoimidazole (I) afforded the enantiomerically rich (R)-mercapto alcohol (VI), which after recrystallization from EtOH provided the pure (R)-isomer. Oxidation with m-chloroperbenzoic acid yielded a diastereomeric mixture of hydroxy sulfoxides (VII). After separation by column chromatography, the required (S)-sulfoxide was converted to mesylate (VIII), and finally reduced with lithium triethylborohydride to afford the target (S)-compound.

参考文献No.534921
标题:Synthesis of a key intermediate, (S)-2-[(3-hydroxypropyl)sulfinyl]-1-(o-tolyl)imidazole, for the antiplatelet aggregation inhibitor, OPC-29030 via lipase-catalyzed enantioselective transesterification
作者:Morita, S.; et al.
来源:Tetrahedron Asymmetry 1997,8(22),3707
合成路线图解说明:

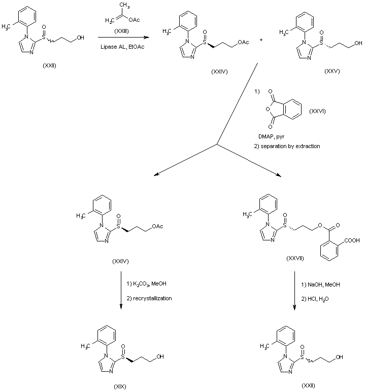
An alternative procedure for the chiral hydroxy sulfoxide (XIX) involved a lipase-catalyzed kinetic resolution. Transesterification of racemic hydroxy sulfoxide (XXII) with isopropenyl acetate (XXIII) catalyzed by lipase AL yielded the acetate ester of the required (S)-isomer (XXIV), along with the unreacted (R)-alcohol (XXV). Separation was achieved upon treatment with phthalic anhydride (XXVI) in the presence of DMAP and pyridine to produce the phthalic acid derivative (XXVII) of the unreacted alcohol, which could be separated from the desired acetate ester (XXIV) by means of selective extraction. The target enantiomerically pure (S)-hydroxy sulfoxide intermediate (XIX) was then obtained by methanolysis of the acetate ester (XXIV) with K2CO3, followed by two recrystallizations from EtOAc. The corresponding (R)-alcohol was recovered by NaOH hydrolysis of the phthalate ester (XXVII), and was completely racemized by treatment with aqueous HCl.

参考文献No.534922
标题:Practical asymmetric oxidation of 3-[1-(2-methylphenyl)imidazol-2-ylthio]propan-1-ol based on a titanium-mandelic acid complex
作者:Matsugi, M.; et al.
来源:Tetrahedron Lett 1998,39(31),5591
合成路线图解说明:

Alternatively, the intermediate chiral hydroxy sulfoxide (XIX) was prepared by the following procedures. Alkylation of mercaptoimidazole (I) with 3-chloropropanol (XVII) gave thioether (XVIII). This was oxidized with cumene hydroperoxide and titanium tetraisopropoxide in the presence of either D-diethyl tartrate or (R)-mandelic acid as the chiral auxiliaries to provide, after recrystallization from methyl ethyl ketone, the optically pure sulfoxide (XIX). Subsequent treatment with methanesulfonyl chloride and triethylamine gave mesylate (XX), which was finally condensed with the sodium salt of 6-hydroxytetrahydroquinolinone (XXI) in DMSO at 60 C.

参考文献No.615941
标题:Catalytic asymmetric oxidation of sulfide with titanium-mandelic acid complex: Practical synthesis of (S)-3-[1-(2-methylphenyl)imidazol-2-ylsulfinyl]propan-1-ol, the key intermediate of OPC-29030
作者:Matsugi, M.; et al.
来源:Tetrahedron 2001,57(14),2739
合成路线图解说明:

The cyclization of 2-methylphenyl isothiocyanate (I) with 2-aminoacetaldehyde dimethylacetal (II) in methanol gives the 1-(2-methylphenyl)imidazole-2-thiol (III), which is condensed with 3-bromopropanol (IV) by means of NaOH in refluxing water to yield the sulfide (V). The asymmetric oxidation of sulfide (V) with Ti(O-iPr)4, cumene hydroperoxide (CHP) and (R)-(-)-mandelic acid as chiral catalyst in dichloromethane affords the (S)-sulfinyl derivative (VI), which is treated with Ms-Cl to provide the expected mesylate (VII). Finally, this compound is condensed with the sodium salt of 6-hydroxy-1,2,3,4-tetrahydroquinolin-2one (VIII) to give the target compound.

Drug Information Express,Drug R&D,Chemical Database,Patent Search.
Copyright © 2006-2026 Drug Future. All rights reserved.Contact Us