【药物名称】Avasimibe, CI-1011
化学结构式(Chemical Structure):
参考文献No.25519
标题:N-Acyl sulfamic acid esters (or thioesters), N-acyl sulfonamides, and N-sulfonyl carbamic acid esters (or thioesters) as hypercholesterolemic agents
作者:Lee, H.T.; Picad, J.A.; Sliskovic, D.R.; Wierenga, W. (Pfizer Inc.)
来源:EP 0698010; JP 1996510256; US 5491172; WO 9426702
合成路线图解说明:

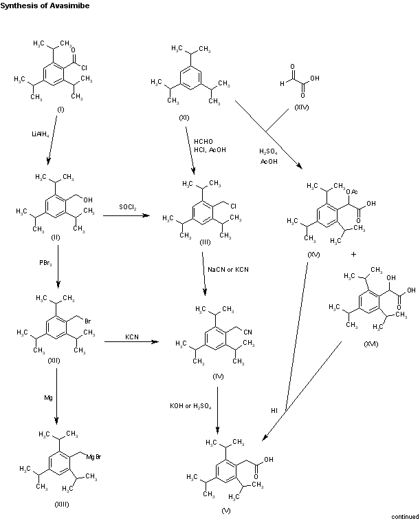
1) Synthesis of intermediate (V): The reduction of 2,4,6-triisopropylbenzoyl chloride (I) with LiAlH4 in ethyl ether gives 2,4,6-triisopropylbenzyl alcohol (II) (1-4), which by reaction with SOCl2 in toluene is converted into 2,4,6-triisopropylbenzyl chloride (III). The reaction of (III) with NaCN or KCN in DMSO affords 2,4,6-triisopropylphenylacetonitrile (IV), which is hydrolyzed with aqueous H2SO4 or KOH in diethylene glycol/water, yielding the phenylacetic acid (V). 2) Synthesis of intermediate (III): The intermediate benzyl chloride (III) can also be obtained by direct chloromethylation of 1,3,5-triisopropylbenzene (XI) with paraformaldehyde/HCl in acetic acid. 3) Synthesis of intermediate (V): Phenylacetic acid (V) can also be obtained by condensation of 1,3,5-triisopropylbenzene (XI) with glyoxylic acid (XIV) by means of H2SO4 in refluxing acetic acid, yielding a mixture of acetoxyacetic acid (XV) and hydroxyacetic acid (XVI). This mixture is finally reduced with HI in acetic acid to the phenylacetic acid (V). 4) Synthesis of intermediate (IV): The acetonitrile (IV) can also be obtained by reaction of benzyl bromide (XII) with KCN in DMSO. 5) Synthesis of intermediate (XIII): Avasimibe can also be obtained by reaction of benzyl alcohol (II) with PBr3 in ether to give the benzyl bromide (XII), which is treated with Mg in THF to yield the corresponding Grignard reagent (XIII).

合成路线图解说明:

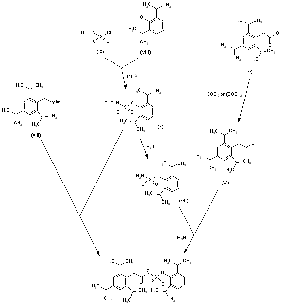
1) The reaction of (V) with SOCl2 or (COCl)2 in DMF affords the expected acyl chloride (VI), which is finally condensed with 2,6-diisopropylphenyl sulfamate (VII) by means of triethylamine in hot toluene to obtain Avasimibe. 2) The sulfamate (VII) can be obtained by condensation of 2,6-diisopropylphenol (VIII) with chlorosulfonyl isocyanate (IX) in refluxing toluene to give the isocyanate (X), which is hydrolyzed with water to the sulfamate (VII). compound is condensed with the previously described isocyanate (X) in refluxing THF to obtain Avasimibe. 3) Avasimibe can also be obtained by condensation of isocyanate (X) with Grignard reagent (XIII).

参考文献No.379283
标题:CI-1011: An atypical ACAT inhibitor with antiatherosclerotic activity
作者:Sliskovic, D.R.
来源:Int Symp Med Chem 1996,Abst SR-06.2
合成路线图解说明:

1) Synthesis of intermediate (V): The reduction of 2,4,6-triisopropylbenzoyl chloride (I) with LiAlH4 in ethyl ether gives 2,4,6-triisopropylbenzyl alcohol (II) (1-4), which by reaction with SOCl2 in toluene is converted into 2,4,6-triisopropylbenzyl chloride (III). The reaction of (III) with NaCN or KCN in DMSO affords 2,4,6-triisopropylphenylacetonitrile (IV), which is hydrolyzed with aqueous H2SO4 or KOH in diethylene glycol/water, yielding the phenylacetic acid (V). 2) Synthesis of intermediate (III): The intermediate benzyl chloride (III) can also be obtained by direct chloromethylation of 1,3,5-triisopropylbenzene (XI) with paraformaldehyde/HCl in acetic acid. 3) Synthesis of intermediate (V): Phenylacetic acid (V) can also be obtained by condensation of 1,3,5-triisopropylbenzene (XI) with glyoxylic acid (XIV) by means of H2SO4 in refluxing acetic acid, yielding a mixture of acetoxyacetic acid (XV) and hydroxyacetic acid (XVI). This mixture is finally reduced with HI in acetic acid to the phenylacetic acid (V). 4) Synthesis of intermediate (IV): The acetonitrile (IV) can also be obtained by reaction of benzyl bromide (XII) with KCN in DMSO. 5) Synthesis of intermediate (XIII): Avasimibe can also be obtained by reaction of benzyl alcohol (II) with PBr3 in ether to give the benzyl bromide (XII), which is treated with Mg in THF to yield the corresponding Grignard reagent (XIII).

参考文献No.393935
标题:Inhibitors of acyl-CoA:cholesterol O-acyl transferase (ACAT) as hypocholesterolemic agents. CI-1011: An acyl sulfamate with unique cholesterol-lowering activity in animals fed noncholesterol-supplemented diets
作者:Sliskovic, D.R.; Picard, J.A.; Lee, H.T.; Roth, B.D.; Wierenga, W.; Hicks, J.L.; Bousley, R.F.; Hamelehle, K.L.; Homan, R.; Speyer, C.; Stanfield, R.L.; Krause, B.R.
来源:J Med Chem 1996,39(26),5031
合成路线图解说明:

1) Synthesis of intermediate (V): The reduction of 2,4,6-triisopropylbenzoyl chloride (I) with LiAlH4 in ethyl ether gives 2,4,6-triisopropylbenzyl alcohol (II) (1-4), which by reaction with SOCl2 in toluene is converted into 2,4,6-triisopropylbenzyl chloride (III). The reaction of (III) with NaCN or KCN in DMSO affords 2,4,6-triisopropylphenylacetonitrile (IV), which is hydrolyzed with aqueous H2SO4 or KOH in diethylene glycol/water, yielding the phenylacetic acid (V). 2) Synthesis of intermediate (III): The intermediate benzyl chloride (III) can also be obtained by direct chloromethylation of 1,3,5-triisopropylbenzene (XI) with paraformaldehyde/HCl in acetic acid. 3) Synthesis of intermediate (V): Phenylacetic acid (V) can also be obtained by condensation of 1,3,5-triisopropylbenzene (XI) with glyoxylic acid (XIV) by means of H2SO4 in refluxing acetic acid, yielding a mixture of acetoxyacetic acid (XV) and hydroxyacetic acid (XVI). This mixture is finally reduced with HI in acetic acid to the phenylacetic acid (V). 4) Synthesis of intermediate (IV): The acetonitrile (IV) can also be obtained by reaction of benzyl bromide (XII) with KCN in DMSO. 5) Synthesis of intermediate (XIII): Avasimibe can also be obtained by reaction of benzyl alcohol (II) with PBr3 in ether to give the benzyl bromide (XII), which is treated with Mg in THF to yield the corresponding Grignard reagent (XIII).

参考文献No.474029
标题:Avasimibe
作者:Sorbera, L.A.; Rabasseda, X.; Casta馿r, J.
来源:Drugs Fut 1999,24(1),9
合成路线图解说明:

1) Synthesis of intermediate (V): The reduction of 2,4,6-triisopropylbenzoyl chloride (I) with LiAlH4 in ethyl ether gives 2,4,6-triisopropylbenzyl alcohol (II) (1-4), which by reaction with SOCl2 in toluene is converted into 2,4,6-triisopropylbenzyl chloride (III). The reaction of (III) with NaCN or KCN in DMSO affords 2,4,6-triisopropylphenylacetonitrile (IV), which is hydrolyzed with aqueous H2SO4 or KOH in diethylene glycol/water, yielding the phenylacetic acid (V). 2) Synthesis of intermediate (III): The intermediate benzyl chloride (III) can also be obtained by direct chloromethylation of 1,3,5-triisopropylbenzene (XI) with paraformaldehyde/HCl in acetic acid. 3) Synthesis of intermediate (V): Phenylacetic acid (V) can also be obtained by condensation of 1,3,5-triisopropylbenzene (XI) with glyoxylic acid (XIV) by means of H2SO4 in refluxing acetic acid, yielding a mixture of acetoxyacetic acid (XV) and hydroxyacetic acid (XVI). This mixture is finally reduced with HI in acetic acid to the phenylacetic acid (V). 4) Synthesis of intermediate (IV): The acetonitrile (IV) can also be obtained by reaction of benzyl bromide (XII) with KCN in DMSO. 5) Synthesis of intermediate (XIII): Avasimibe can also be obtained by reaction of benzyl alcohol (II) with PBr3 in ether to give the benzyl bromide (XII), which is treated with Mg in THF to yield the corresponding Grignard reagent (XIII).

合成路线图解说明:

1) The reaction of (V) with SOCl2 or (COCl)2 in DMF affords the expected acyl chloride (VI), which is finally condensed with 2,6-diisopropylphenyl sulfamate (VII) by means of triethylamine in hot toluene to obtain Avasimibe. 2) The sulfamate (VII) can be obtained by condensation of 2,6-diisopropylphenol (VIII) with chlorosulfonyl isocyanate (IX) in refluxing toluene to give the isocyanate (X), which is hydrolyzed with water to the sulfamate (VII). compound is condensed with the previously described isocyanate (X) in refluxing THF to obtain Avasimibe. 3) Avasimibe can also be obtained by condensation of isocyanate (X) with Grignard reagent (XIII).

参考文献No.562894
标题:Chemical development of a pilot scale process for the ACAT inhibitor 2,6-diisopropylphenyl [(2,4,6-triisopropylphenyl)acetyl]sulfamate
作者:Dozeman, G.J.; et al.
来源:Org Process Res Dev 1997,1(2),137-48
合成路线图解说明:

1) Synthesis of intermediate (V): The reduction of 2,4,6-triisopropylbenzoyl chloride (I) with LiAlH4 in ethyl ether gives 2,4,6-triisopropylbenzyl alcohol (II) (1-4), which by reaction with SOCl2 in toluene is converted into 2,4,6-triisopropylbenzyl chloride (III). The reaction of (III) with NaCN or KCN in DMSO affords 2,4,6-triisopropylphenylacetonitrile (IV), which is hydrolyzed with aqueous H2SO4 or KOH in diethylene glycol/water, yielding the phenylacetic acid (V). 2) Synthesis of intermediate (III): The intermediate benzyl chloride (III) can also be obtained by direct chloromethylation of 1,3,5-triisopropylbenzene (XI) with paraformaldehyde/HCl in acetic acid. 3) Synthesis of intermediate (V): Phenylacetic acid (V) can also be obtained by condensation of 1,3,5-triisopropylbenzene (XI) with glyoxylic acid (XIV) by means of H2SO4 in refluxing acetic acid, yielding a mixture of acetoxyacetic acid (XV) and hydroxyacetic acid (XVI). This mixture is finally reduced with HI in acetic acid to the phenylacetic acid (V). 4) Synthesis of intermediate (IV): The acetonitrile (IV) can also be obtained by reaction of benzyl bromide (XII) with KCN in DMSO. 5) Synthesis of intermediate (XIII): Avasimibe can also be obtained by reaction of benzyl alcohol (II) with PBr3 in ether to give the benzyl bromide (XII), which is treated with Mg in THF to yield the corresponding Grignard reagent (XIII).

Drug Information Express,Drug R&D,Chemical Database,Patent Search.
Copyright © 2006-2026 Drug Future. All rights reserved.Contact Us