【药物名称】
化学结构式(Chemical Structure):
参考文献No.24381
标题:Quinolinecarboxylic acid deriv. and process for producing the same
作者:Segawa, J.; Matsuoka, M.; Tomii, Y. (Nippon Shinyaku Co., Ltd.)
来源:EP 0675127; WO 9414819
合成路线图解说明:

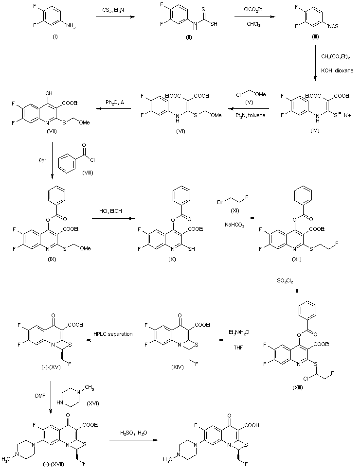
Treatment of 3,4-difluoroaniline (I) with CS2 and Et3N gives triethylammonium dithiocarbamate (II), which reacts with ethyl chloroformate in chloroform to yield (III). Isothiocyanate (III) is converted into the potassium salt (IV) by reaction with diethyl malonate and KOH in dioxane and then transformed into methoxymethyl thioether (VI) by means of reagent (V) and Et3N in toluene. Cyclization of (VI) by heating in diphenyl ether affords quinoline (VII), which then reacts with benzoyl chloride (VIII) in pyridine to furnish (IX). Benzoyloxy derivative (IX) is converted into (X) by means of HCl in EtOH, and its reaction with 1-bromo-2-fluoroethane (XI) and NaHCO3 yields compound (XII). Chlorination of (XII) with SO2Cl2 in hexane provides (XIII), which by simultaneous hydrolysis and intramolecular cyclization by means of Et3N /H2O in THF provides the mixture of isomers (XIV). (+)-(XV) is obtained by HPLC chromatography of (XIV) on a chiral stationary phase. Treatment of (+)-(XV) with 1-methylpiperazine (XVI) in DMF provides ethyl ester (+)-(XVII), which is finally hydrolyzed by means of H2SO4 in H2O.

合成路线图解说明:

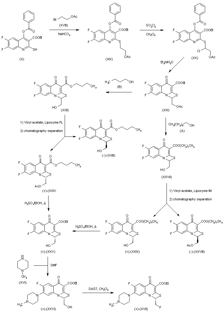
Alternatively, (+)-(XVII) can be obtained as follows: Treatment of (X) with 1-acetoxy-2-bromoethane (XVIII) in DMF in the presence of NaHCO3 yields derivative (XIX), which is then chlorinated by means of SO2Cl2 in CH2Cl2 to provide (XX). Simultaneous hydrolysis and intramolecular cyclization of (XX) by means of Et3N /H2O in THF affords (XXI), which is then converted into butyl ester derivative (XXII) by treatment with refluxing butanol (B). Resolution of the racemic mixture (XXII) by treatment with Lipase PL in vinyl acetate followed by chromatographic separation provides alcohol (-)-(XXIII) and acetoxy (+)-(XXIV). Hydrolysis of (+)-(XXIV) with hot H2SO4/EtOH gives alcohol (+)-(XXV), which is then condensed with 1-methylpiperazine (XVI) in DMF to yield derivative (+)-(XXVI). Finally, treatment with (diethylamino)sulfur trifluoride (DAST) in CH2Cl2 provides fluoro derivative (+)-(XVII). Alternatively, (+)-(XXV) can be obtained by conversion of (XXI) into octyl ester (XXVII) by means of refluxing octanol (A), followed by its enantiomer enzymatic resolution with Liposyme IM in vinyl acetate and chromatographic separation to afford (-)-(XXVIII) and (+)-(XXIX). Finally, hydrolysis of (+)-(XXIX) with hot H2SO4/EtOH yields (+)-(XXV). An analogous procedure comprising enantiomer separation and subsequent hydrolysis can be performed from ethyl esters (XX) or (XXI) by treatment with the corresponding lipases in an appropriate solvent.

合成路线图解说明:

Treatment of 3,4-difluoroaniline (I) with CS2 and Et3N gives triethylammonium dithiocarbamate (II), which reacts with ethyl chloroformate in chloroform to yield (III). Isothiocyanate (III) is converted into the potassium salt (IV) by reaction with diethyl malonate and KOH in dioxane, and then transformed into methoxymethyl thioether (VI) by means of reagent (V) and Et3N in toluene. Cyclization of (VI) by heating in diphenyl ether affords quinoline (VII), which is then converted into (IX) by means of benzoyl chloride (VIII) in pyridine. Benzoyloxy derivative (IX) is converted into (X) by means of HCl in EtOH, and its reaction with 1-bromo-2-fluoroethane (XI) and NaHCO3 yields compound (XII). Chlorination of (XII) with SO2Cl2 in hexane provides (XIII), which by simultaneous hydrolysis and intramolecular cyclization by means of Et3N /H2O in THF provides the mixture of isomers (XIV). (-)-(XV) is then obtained by HPLC chromatography on a chiral stationary phase. Treatment of (-)-(XV) with 1-methylpiperazine (XVI) in DMF provides ethyl ester (-)-(XVII), which is finally hydrolyzed by means of H2SO4 in H2O.

合成路线图解说明:

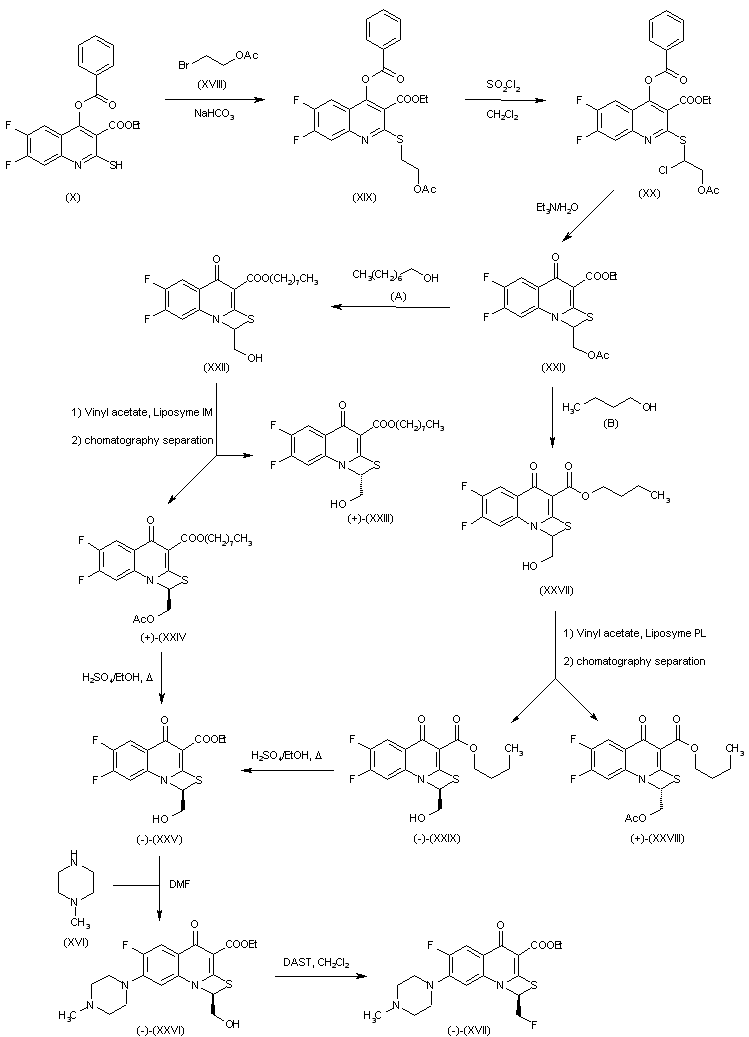
Alternatively, (-)-(XVII) can be obtained as follows: Treatment of (X) with 1-acetoxy-2-bromoethane (XVIII) in DMF in the presence of NaHCO3 yields derivative (XIX), which is then chlorinated by means of SO2Cl2 in CH2Cl2 to provide (XX). Simultaneous hydrolysis and intramolecular cyclization of (XX) by means of Et3N /H2O in THF affords (XXI), which is then converted into octyl ester derivative (XXII) by treatment with refluxing octanol (A). Resolution of the racemic mixture (XXII) by treatment with Liposyme IM in vinyl acetate followed by chromatographic separation provides alcohol (+)-(XXIII) and acetoxy (-)-(XXIV). Hydrolysis of (-)-(XXIV) with hot H2SO4/EtOH gives alcohol (-)-(XXV), which then reacts with 1-methylpiperazine (XVI) in DMF to yield derivative (-)-(XXVI). Finally, treatment with (diethylamino)sulfur trifluoride (DAST) in CH2Cl2 provides fluoro derivative (-)-(XVII). Alternatively, (-)-(XXV) can be obtained by conversion of (XXI) into butyl ester (XXVII) by means of refluxing butanol (B), followed by its enantiomer enzymatic resolution with Lipase PL in vinyl acetate and chromatographic separation to afford (+)-(XXVIII) and (-)-(XXIX). Finally, hydrolysis of (-)-(XXIX) with hot H2SO4/EtOH yields (-)-(XXV). An analogous procedure comprising enantiomer separation and subsequent hydrolysis can be performed from ethyl esters (XX) or (XXI) by treatment with the corresponding lipases in an appropriate solvent.

参考文献No.201142
标题:Studies on pyridonecarboxylic acids. 1. Synthesis and antibacterial evaluation of 7-substituted-6-halo-4-oxo-4H-[1,3]thiazeto[3, 2-a]quinoline-3-carboxylic acids
作者:Segawa, J.; Kitano, M.; Kazuno, K.; Matsuoka, M.; Shirahase, I.; Ozaki, M.; Matsuda, M.; Tomii, Y.; Kise, M.
来源:J Med Chem 1992,35(25),4727
合成路线图解说明:

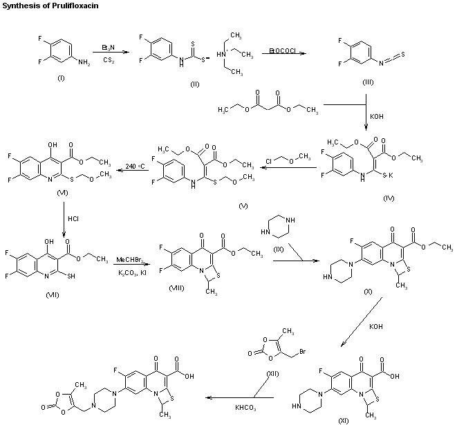
The reaction of 3,4-difluoroaniline (I) with carbon disulfide and triethylamine gives triethylammonium N-(3,4-difluorophenyl)dithiocarbamate (II), which by reaction with ethyl chloroformate and triethylamine in chloroform is converted into 3,4-difluorophenyl isothiocyanate (III). The reaction of (III) with diethyl malonate and KOH in dioxane affords the potassium salt (IV), which is treated with chloromethyl methyl ether in DMF to give the corresponding methoxymethylsulfanyl compound (V). The cyclization of (V) at 240 C in diphenyl ether affords 6,7-difluoro-4-hydroxy-2-(methoxymethylsulfanyl)quinoline-3-carboxylic acid ethyl ester (VI), which by treatment with HCl in ethanol gives the corresponding mercapto compound (VII). The cyclization of (VII) with 1,1-dibromoethane by means of K2CO3 and KI in hot DMF yields 5,6-difluoro-1-methyl-4-oxo-4H-[1,3]thiazeto[3,2-a]quinoline-3-carboxylic acid ethyl ester (VIII), which is condensed with piperazine (IX) in DMF to afford the corresponding piperazino-derivative (X). The hydrolysis of (X) with KOH in hot tert-butanol gives the corresponding free acid (XI) , which is finally condensed with 4-(bromomethyl)-5-methyl-1,3-dioxol-2-one (XII) by means of KHCO3 in DMF.

合成路线图解说明:

Treatment of 3,4-difluoroaniline (I) with CS2 and Et3N gives triethylammonium dithiocarbamate (II), which reacts with ethyl chloroformate in chloroform to yield (III). Isothiocyanate (III) is converted into the potassium salt (IV) by reaction with diethyl malonate and KOH in dioxane and then transformed into methoxymethyl thioether (VI) by means of reagent (V) and Et3N in toluene. Cyclization of (VI) by heating in diphenyl ether affords quinoline (VII), which then reacts with benzoyl chloride (VIII) in pyridine to furnish (IX). Benzoyloxy derivative (IX) is converted into (X) by means of HCl in EtOH, and its reaction with 1-bromo-2-fluoroethane (XI) and NaHCO3 yields compound (XII). Chlorination of (XII) with SO2Cl2 in hexane provides (XIII), which by simultaneous hydrolysis and intramolecular cyclization by means of Et3N /H2O in THF provides the mixture of isomers (XIV). (+)-(XV) is obtained by HPLC chromatography of (XIV) on a chiral stationary phase. Treatment of (+)-(XV) with 1-methylpiperazine (XVI) in DMF provides ethyl ester (+)-(XVII), which is finally hydrolyzed by means of H2SO4 in H2O.

合成路线图解说明:

Treatment of 3,4-difluoroaniline (I) with CS2 and Et3N gives triethylammonium dithiocarbamate (II), which reacts with ethyl chloroformate in chloroform to yield (III). Isothiocyanate (III) is converted into the potassium salt (IV) by reaction with diethyl malonate and KOH in dioxane, and then transformed into methoxymethyl thioether (VI) by means of reagent (V) and Et3N in toluene. Cyclization of (VI) by heating in diphenyl ether affords quinoline (VII), which is then converted into (IX) by means of benzoyl chloride (VIII) in pyridine. Benzoyloxy derivative (IX) is converted into (X) by means of HCl in EtOH, and its reaction with 1-bromo-2-fluoroethane (XI) and NaHCO3 yields compound (XII). Chlorination of (XII) with SO2Cl2 in hexane provides (XIII), which by simultaneous hydrolysis and intramolecular cyclization by means of Et3N /H2O in THF provides the mixture of isomers (XIV). (-)-(XV) is then obtained by HPLC chromatography on a chiral stationary phase. Treatment of (-)-(XV) with 1-methylpiperazine (XVI) in DMF provides ethyl ester (-)-(XVII), which is finally hydrolyzed by means of H2SO4 in H2O.

参考文献No.563185
标题:Synthesis and antibacterial activity of novel 7-substituted-6-fluoro-1-fluoromethyl-4-oxo-4H-[1,3]thiazeto[3,2-a]quinoline-3-carboxylic acid derivatives
作者:Matsuoka, M.; Segawa, J.; Amimoto, I.; Masui, Y.; Tomii, Y.; Kitano, M.; Kise, M.
来源:Chem Pharm Bull 1999,47(12),1765
合成路线图解说明:

Treatment of 3,4-difluoroaniline (I) with CS2 and Et3N gives triethylammonium dithiocarbamate (II), which reacts with ethyl chloroformate in chloroform to yield (III). Isothiocyanate (III) is converted into the potassium salt (IV) by reaction with diethyl malonate and KOH in dioxane and then transformed into methoxymethyl thioether (VI) by means of reagent (V) and Et3N in toluene. Cyclization of (VI) by heating in diphenyl ether affords quinoline (VII), which then reacts with benzoyl chloride (VIII) in pyridine to furnish (IX). Benzoyloxy derivative (IX) is converted into (X) by means of HCl in EtOH, and its reaction with 1-bromo-2-fluoroethane (XI) and NaHCO3 yields compound (XII). Chlorination of (XII) with SO2Cl2 in hexane provides (XIII), which by simultaneous hydrolysis and intramolecular cyclization by means of Et3N /H2O in THF provides the mixture of isomers (XIV). (+)-(XV) is obtained by HPLC chromatography of (XIV) on a chiral stationary phase. Treatment of (+)-(XV) with 1-methylpiperazine (XVI) in DMF provides ethyl ester (+)-(XVII), which is finally hydrolyzed by means of H2SO4 in H2O.

合成路线图解说明:

Treatment of 3,4-difluoroaniline (I) with CS2 and Et3N gives triethylammonium dithiocarbamate (II), which reacts with ethyl chloroformate in chloroform to yield (III). Isothiocyanate (III) is converted into the potassium salt (IV) by reaction with diethyl malonate and KOH in dioxane, and then transformed into methoxymethyl thioether (VI) by means of reagent (V) and Et3N in toluene. Cyclization of (VI) by heating in diphenyl ether affords quinoline (VII), which is then converted into (IX) by means of benzoyl chloride (VIII) in pyridine. Benzoyloxy derivative (IX) is converted into (X) by means of HCl in EtOH, and its reaction with 1-bromo-2-fluoroethane (XI) and NaHCO3 yields compound (XII). Chlorination of (XII) with SO2Cl2 in hexane provides (XIII), which by simultaneous hydrolysis and intramolecular cyclization by means of Et3N /H2O in THF provides the mixture of isomers (XIV). (-)-(XV) is then obtained by HPLC chromatography on a chiral stationary phase. Treatment of (-)-(XV) with 1-methylpiperazine (XVI) in DMF provides ethyl ester (-)-(XVII), which is finally hydrolyzed by means of H2SO4 in H2O.

Drug Information Express,Drug R&D,Chemical Database,Patent Search.
Copyright © 2006-2026 Drug Future. All rights reserved.Contact Us