【药物名称】NCA-0424
化学结构式(Chemical Structure):
参考文献No.25359
标题:Indolo[2,3-b]quinoxaline derivs.
作者:Matsumoto, T.; Wada, H.; Migita, Y.; Hatayama, K.; Sekiguchi, Y. (Taisho Pharmaceutical Co., Ltd.)
来源:EP 0695754; JP 1995522993; WO 9424135
合成路线图解说明:

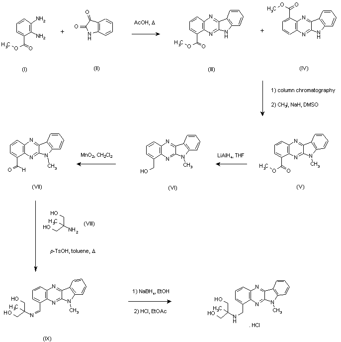
The condensation of methyl 2,3-diaminobenzoate (I) with isatin (II) in refluxing AcOH afforded a mixture of indoloquinoxaline-carboxylates (III) and (IV), which were separated by column chromatography. The desired 4-carboxylate isomer (III) was methylated at the indole N atom with CH3I in the presence of NaH to provide (V). The ester group of (V) was reduced to alcohol (VI) with LiAlH4 and then oxidized with activated MnO2 to yield aldehyde (VII). Subsequent condensation of (VII) with amine (VIII) in refluxing toluene in the presence of p-toluenesulfonic acid produced the corresponding imine (IX), which was finally reduced with NaBH4 in EtOH to the target amine, which was isolated as the hydrochloride salt.

Drug Information Express,Drug R&D,Chemical Database,Patent Search.
Copyright © 2006-2026 Drug Future. All rights reserved.Contact Us